Главная >> Задачник по физике 9 класс. Генденштейн

Механические явления

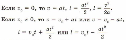
Прямолинейное равноускоренное движение

    Природа не знает остановки в своем движении и казнит всякую бездеятельность.

      И. Гёте

    Прямолинейное равноускоренное движение


Пример решения задачи

Поезд начинает движение из состояния покоя и движется равноускоренно. На первом километре пути его скорость возросла до 10 м/с. На сколько она возрастет на втором километре?

Р е ш е н и е. Из формулы пути следует, что скорость поезда после прохождения первого километра

а после прохождения второго километра (когда пройденный путь равен 2l)

Тогда т. е. Δυ2 = (√2 - 1 )υ1.

Таким образом, Δυ2 = 4,1 м/с.

О т в е т: на 4,1 м/с.


Устная разминка

4.1. Куда направлено ускорение лыжника (рис. 35)?

    Рис. 35

4.2. Поезд отходит от станции. Куда направлено его ускорение?

4.3. Начальная и конечная скорости прямолинейного равноускоренного движения тела соответственно равны 5 и 1 м/с. Куда было направлено ускорение тела?

4.4. Поезд тормозит перед остановкой. Что можно сказать о направлениях его ускорения и скорости?

4.5. Тело движется прямолинейно с постоянным ускорением 0,5 м/с2. Найдите изменение скорости тела за 1 с; за 5 с.

4.6. При прямолинейном равноускоренном движении скорость тела за 5 с увеличилась на 3 м/с. Определите ускорение тела.

1 уровень >>>

 

 

???????@Mail.ru