Главная >> Машиностроительное черчение. Инженерная графика. Чекмарев

Чертежи оригинальных деталей

Определение размеров деталей с натуры (окончание)

Параметры стандартных резьб

Определение параметров стандартных резьб производят с помощью штангенциркуля и резьбомеров. Резьбомеры (рис. 10.64) представляют собой набор шаблонов (тонких стальных пластинок), измерительная часть которых соответствует профилю стандартной резьбы. Изготавливают резьбомеры двух типов: для метрической резьбы с клеймом М 60° и размером шага в миллиметрах на каждой пластине и для дюймовой и трубной резьб с клеймом Д 55° и указанием числа ниток на дюйм на каждой пластине.

Резьбомер

Для измерения шага резьбы на детали резьбомером подбирают шаблон-пластинку, зубцы которой совпадают со впадинами измеряемой резьбы (см. рис. 10.64). Затем читают указанный на пластинке шаг (или число ниток на дюйм). Наружный диаметр стержня (или внутренний диаметр в отверстии) измеряют обычным путем штангенциркулем (рис. 10.65, а).

Определив размер и шаг (или число ниток на дюйм), устанавливают тип и размер резьбы по таблицам стандартных резьб в ГОСТ 8724-81 и 6357-81.

При отсутствии резьбомера шаг резьбы (или число ниток на дюйм) может быть определен с помощью оттиска на бумаге. Для этого резьбовую часть детали обжимают листком чистой бумаги так, чтобы получить на ней оттиски (отпечатки ниток резьбы, т.е. несколько шагов (не менее 10) — рис. 10.65, б). Затем по оттиску измеряют расстояние L между крайними достаточно четкими рисками (отпечатками). Это измерение должно быть выполнено достаточно аккуратно с погрешностью не более 0,2 мм. Сосчитав число шагов п на длине L (на единицу меньше числа рисок), определяют шаг. Например, оттиск дал 10 четких рисок (т.е. 9 шагов) общей длиной 13,5 мм. Наружный диаметр при измерении — 14 мм. Определяем шаг: р = 13,5 : 9 =1,5 мм. По ГОСТ 8724—81 находим резьбу М14х1,5, т.е. это метрическая резьба 2-го ряда с диаметром 14 мм и мелким шагом 1,5 мм.

Шаг резьбы может быть определен с помощью оттиска на бумаге

Шаг внутренней резьбы определяют по отпечатку на полоске бумаги, на ребре спички, карандаше (рис. 10.66). Осмотром определяют профиль резьбы, направление резьбы (правая, левая), число заходов.

Шаг внутренней резьбы определяют по отпечатку на полоске бумаги, на ребре спички, карандаше

Определение некоторых параметров зубчатого венца цилиндрического зубчатого колеса. При выполнении эскиза зубчатого колеса с натуры (рис. 10.67) снимают диаметр de выступов, ширину b, подсчитывают число зубьев Z.

Определение параметров зубчатого венца цилиндрического зубчатого колеса

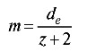
Для нормального зацепления подсчитывают модуль

Для нормального зацепления подсчитывают модуль

и диаметр d делительной окружности

dd = mz.

На эскизе наносят размеры de и b, на поле чертежа указывают величину модуля т и число зубьев Z.

Точные и автоматизированные измерения размеров

При снятии эскизов на производстве или при научно-исследовательской работе размеры измеряют с точностью, определяемой конструктивным назначением соответствующих элементов деталей или соединений; при необходимости используют высокоточные оптико-механические и электронные измерительные приборы и установки. Для исследования формы и расположения внутренних элементов приборов без их разборки применяют рентгеноскопические и рентгено-телевизионные методы. При исследовании приборов с малыми размерами элементов, в миниатюрном и сверхминиатюрном исполнении применяют измерительные средства с большим увеличением, а также системы, позволяющие одновременно с визуальным изучением автоматически вычерчивать исследуемые объекты в заданном масштабе увеличения.

При исследовании приборов, машин, установок со сложными наружными поверхностями измерение выполняют на автоматизированных трехкоординатных измерительных машинах с записью результатов на перфоленту и последующим использованием их для автоматического вычерчивания измеренных поверхностей с помощью графопостроителей.

<<< К началу параграфа                       Следующий параграф >>>

 

 

???????@Mail.ru