Главная >> Информатика и ИКТ. 7 класс. Босова

Глава 2. Информационное моделирование

Математические модели

Основным языком информационного моделирования в науке является язык математики. Модели, построенные с использованием математических понятий и формул, называются математическими моделями.

    Пример 1

Рассмотрим текст небольшой заметки из школьной стенгазеты:

    После капитального ремонта бассейн «Дельфин» буквально преобразился: просторные раздевалки и душевые сверкают новеньким кафелем, захватывает дух от вида замысловатой горки и пятиметровой вышки, манит голубая гладь водных дорожек. Но самое главное, строители переделали систему водоснабжения бассейна. Раньше бассейн наполнялся водой из одной трубы. На это уходило 30 часов. Теперь строители подвели еще одну трубу, которая наполняет бассейн за 20 часов. Представляете, как мало времени теперь потребуется для наполнения бассейна, если включить обе эти трубы!

Этот текст можно рассматривать как словесную модель бассейна. Попробуем решить содержащуюся в заметке задачу: узнаем, за сколько часов бассейн наполнится через обе трубы.

Если отбросить информацию, несущественную с точки зрения поставленной задачи, то условие задачи можно сформулировать так:

    Через первую трубу бассейн наполняется за 30 часов, через вторую трубу — за 20 часов. За сколько часов бассейн наполнится через обе трубы?

Попробуем решить задачу в общем виде, обозначив время заполнения бассейна через первую и вторую трубы А и B соответственно. Примем за 1 весь объем бассейна, искомое время обозначим через t.

Так как через первую трубу бассейн наполняется за А часов, то — часть бассейна, наполняемая первой трубой за 1 час; — часть бассейна, наполняемая второй трубой за 1 час.

Следовательно, скорость наполнения бассейна первой и второй трубами вместе составит:

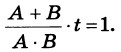
Можем записать:

Мы получили математическую модель, описывающую процесс наполнения бассейна из двух труб.

Преобразуем выражение в скобках:

Формула (1) примет вид:

Теперь искомое время может быть вычислено по формуле:

Несложно подсчитать, что при исходных данных А = 30 и В = 20 искомое время равно 12 часам.

Окончание >>>

 

 

???????@Mail.ru