Главная >> Информатика и ИКТ. 7 класс. Босова

Глава 4. Компьютерный практикум. Работа 10

Схемы, графы и деревья

    Задание 4. Круговорот воды в природе

Будем считать, что круговорот воды в природе обеспечивается взаимодействием следующих объектов: водоемов (океаны, моря, озера, водохранилища, пруды и пр.), рек, подземных вод, атмосферы, облаков, почвы, растений.

Представьте круговорот воды в природе в виде графа (семантической сети), в которой вершинами являются перечисленные объекты, а дугами — отношения между ними, обеспечивающие движение воды.

Сохраните результат работы в собственной папке в файле с именем Круговорот.

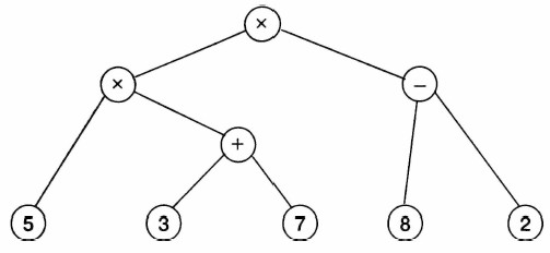
    Задание 5. Арифметические выражения

С помощью графа можно задать последовательность вычисления арифметического выражения. Такой граф представляет собой дерево, листьями которого являются числа, а прочими вершинами — операции. Дуги связывают вершину-операцию с вершинами-операндами. Например, для арифметического выражения 5 х (3 + 7) х (8 - 2) дерево будет иметь такой вид:

Постройте дерево для арифметического выражения 6 х 4 + 7 х (9 - 1).

Сохраните результат работы в собственной папке в файле с именем Выражение.

    Задание 6. Наши конкурсы

Работы участников школьных конкурсов по информационным технологиям записаны на диске, файловая структура которого имеет вид:

Средствами текстового процессора создайте соответствующую схему.

Сохраните результат работы в собственной папке в файле с именем Конкурсы.

    Задание 7. Царство животных

1. Составьте схему по следующему описанию:

Близкие виды объединяются в один род. Например: ворона, ворон, галка и грач объединены в род Ворон. Близкие роды объединяются в семейства: род Ворон, род Сорока, род Сойка, род Кедровка объединены в семейство Вороновые. В свою очередь, близкие семейства объединяются в отряды. Так, семейство Синицевые, семейство Вороновые, семейство Ласточковые принадлежат отряду Воробьинообразные. Близкие отряды составляют класс. Так, отряд Воробьинообразные, отряд Совообразные, отряд Гусеобразные принадлежат к классу Птицы. Близкие классы объединены в типы. Так, класс Птицы, класс Амфибии, класс Млекопитающие входят в тип Хордовые. В настоящее время выделяют до 25 различных типов животных. Все они объединены в царство Животные.

2. Сохраните результат работы в собственной папке в файле с именем Животные.

    Задание 8. Творческое задание

Придумайте сами пример объектов, отношения между которыми можно представить с помощью схемы. Создайте соответствующую схему средствами текстового процессора. Сохраните результат работы в собственной папке в файле с именем Идея5.

    Теперь мы умеем

пользоваться инструментом Надпись панели Рисование;

добавлять (вписывать) текст в автофигуру;

строить разнообразные схемы.

<<< К началу

 

 

???????@Mail.ru