Главная >> Информатика и ИКТ. 8 класс. Босова

§ 1.4. Измерение информации

Информационный объём сообщения

Информационный объём сообщения (количество информации в сообщении), представленного символами естественного или формального языка, складывается из информационных весов составляющих его символов.

Информационный объём I сообщения равен произведению количества К символов в сообщении на информационный вес i символа алфавита: I = К • i.

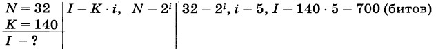
Задача 2. Сообщение, записанное буквами 32-символьного алфавита, содержит 140 символов. Какое количество информации оно несёт?

Решение.

    Ответ: 700 битов.

Задача 3. Информационное сообщение объёмом 720 битов состоит из 180 символов. Какова мощность алфавита, с помощью которого записано это сообщение?

Решение.

    Ответ: 16 символов.

 

 

???????@Mail.ru