Главная >> Информатика и ИКТ. 8 класс. Босова

§ 3.1. Формирование изображения на экране монитора

Видеосистема персонального компьютера

Качество изображения на экране компьютера зависит как от пространственного разрешения монитора, так и от характеристик видеокарты (видеоадаптера), состоящей из видеопамяти и видеопроцессора.

Монитор и видеокарта образуют видеосистему персонального компьютера. Рассмотрим работу видеосистемы персонального компьютера в упрощённом виде.

    1. Под управлением процессора информация о цвете каждого пикселя экрана компьютера заносится для хранения в видеопамять. Видеопамять — это электронное энергозависимое запоминающее устройство. Глубина цвета, а значит, количество цветов в палитре компьютера, зависит от размера видеопамяти. Видеопамять современных компьютеров составляет 256, 512 и более мегабайтов.

    2. Видеопроцессор несколько десятков раз в секунду считывает содержимое видеопамяти и передаёт его на монитор, который превращает полученные данные в видимое человеком изображение. Частота обновления экрана (количество обновлений экрана в секунду) измеряется в герцах (Гц). Комфортная работа пользователя, при которой он не замечает мерцания экрана, возможна при частоте обновления экрана не менее 75 Гц.

Пространственное разрешение монитора, глубина цвета и частота обновления экрана — основные параметры, определяющие качество компьютерного изображения. В операционных системах предусмотрена возможность выбора необходимого пользователю и технически возможного графического режима (рис. 3.4).

Элементы интерфейса в диалоговом окне Свойства экрана

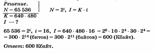
Задача. Рассчитайте объём видеопамяти, необходимой для хранения графического изображения, занимающего весь экран монитора с разрешением 640 х 480 и палитрой из 65 536 цветов.

 

 

???????@Mail.ru