Главная >> Информатика 10 класс. Босова

§ 2. Подходы к измерению информации

2.1. Содержательный подход к измерению информации

Пример 3. О результатах футбольного матча между клубами «Спартак» и «Динамо» известно, что больше трёх мячей никто не забил. Всего возможных вариантов счёта матча — 16:

    Пример 3

Здесь первая цифра в каждой паре соответствует количеству мячей, забитых командой «Спартак», вторая — командой «Динамо».

Будем считать все варианты равновероятными и отгадывать счёт, задавая вопросы, на которые можно ответить только «да» или «нет». Вопросы будем формулировать так, чтобы количество возможных вариантов счёта каждый раз уменьшалось вдвое. Это позволит нам:

    1) обойтись минимальным количеством вопросов;
    2) подсчитать, сколько бит информации содержит сообщение о счёте матча.

Вопрос 1. «Спартак» забил больше одного мяча? Предположим, получен ответ «Нет». Такой ответ позволяет не рассматривать варианты, расположенные в нижней части таблицы, т. е. сокращает количество возможных исходов в 2 раза:

Вопрос 2. «Спартак» забил один мяч? Предположим, получен ответ «Да». Такой ответ позволяет не рассматривать варианты, расположенные в верхней строке таблицы, т. е. сокращает количество возможных исходов ещё в 2 раза:

Вопрос 3. «Спартак» пропустил больше одного мяча? Предположим, получен ответ «Нет». Можно отбросить ещё два варианта:

Вопрос 4. «Спартак» пропустил один мяч? Предположим, получен ответ «Да». Получаем единственный вариант:

Итак, нам удалось выяснить счёт матча, задав четыре вопроса, ответ на каждый из которых уменьшал неопределённость результата в два раза, т. е. нёс 1 бит информации. Сообщение о счёте матча несёт четыре бита информации.

Выясните, какому счёту матча будут соответствовать следующие цепочки ответов на поставленные выше вопросы:

    1) Да — Да — Да — Да;
    2) Нет — Нет — Нет — Нет;
    3) Да — Нет — Да — Нет.

Попробуйте придумать такие вопросы, чтобы цепочка ответов Нет — Да — Нет — Да приводила к счёту 2 : 3.

Вычислять количество информации, содержащееся в сообщении о том, что имел место один из множества равновероятных результатов некоторого события, с помощью метода половинного деления возможно, но затруднительно. Гораздо проще воспользоваться следующей закономерностью.

Количество информации i, содержащееся в сообщении об одном из N равновероятных результатов некоторого события, определяется из формулы:

    2' = N.

При N, равном целой степени двойки (2, 4, 8, 16, 32 и т. д.), это уравнение легко решается в уме. Решать такие уравнения при других N вы научитесь чуть позже, в курсе математики 11 класса.

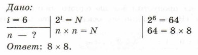
Пример 4. Петя и Вася заинтересовались игрой «Крестики-нолики» на поле n х n. Количество информации, полученное вторым игроком после первого хода первого игрока, составляет б бит. Требуется выяснить размеры поля, на котором играют Петя и Вася.

<<< К началу

 

 

???????@Mail.ru