Главная >> Информатика 10 класс. Босова

§ 2. Подходы к измерению информации

2.2. Алфавитный подход к измерению информации

Пример 6. Для двоичного представления текстов в компьютере чаще всего используется равномерный восьмиразрядный код. С его помощью можно закодировать алфавит из 256 символов (28 = 256). Фрагмент кодовой таблицы ASCII представлен на рисунке 1.8.

    Фрагмент кодовой таблицы ASCII

Слово WORD, закодированное с помощью таблицы ASCII:

Информационный объём такого сообщения равен 32 битам.

Из курса информатики основной школы вам известно, что с помощью i-разрядного двоичного кода можно закодировать алфавит, мощность N которого определяется из соотношения:

    2i = N.

Иными словами, зная мощность используемого алфавита, всегда можно вычислить информационный вес символа — минимально возможное количество бит, требуемое для кодирования символов этого алфавита. При этом информационный вес символа должен быть выражен целым числом.

Соотношение для определения информационного веса символа алфавита можно получить и из следующих соображений.

Пусть N — мощность алфавита, используемого для кодирования сообщений. При этом в каждом конкретном сообщении какие-то символы алфавита будут использоваться чаще, какие-то — реже, а какие-то — не будут использоваться вообще. Не станем обращать на это внимание, наоборот, будем считать, что любой из символов может появиться в сообщении с равной вероятностью. Другими словами, появление в сообщении очередного символа — одно из N равновероятных событий. Но количество информации i, содержащееся в сообщении об одном из N равновероятных результатов некоторого события, определяется из формулы 2i = N.

Алгоритм вычисления информационного объёма сообщения выглядит так:

    1) определить мощность используемого алфавита N;

    2) из соотношения 2i = N определить i — информационный вес символа алфавита в битах (длину двоичного кода символа из используемого алфавита мощности N);

    3) вычислить информационный объём сообщения I, умножив информационный вес символа i на количество символов в сообщении К.

При алфавитном подходе информационный объём сообщения I, состоящего из К символов, вычисляется по формуле:

    I = К • i,

где i — информационный вес символа в битах, связанный с мощностью используемого алфавита N соотношением:

    2i = N.

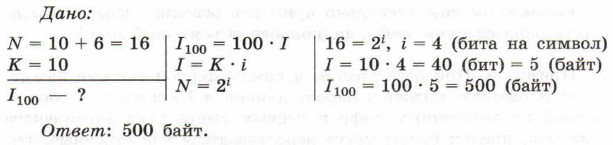
Пример 7.

Для регистрации на некотором сайте пользователю надо придумать пароль, состоящий из 10 символов. В качестве символов можно использовать десятичные цифры и шесть первых букв латинского алфавита, причём буквы используются только заглавные. Пароли кодируются посимвольно. Все символы кодируются одинаковым и минимально возможным количеством бит. Для хранения сведений о каждом пользователе в системе отведено одинаковое и минимально возможное целое число байт.

Необходимо выяснить, какой объём памяти потребуется для хранения 100 паролей.

<<< К началу

 

 

???????@Mail.ru