Главная >> Информатика 10 класс. Босова

§ 20. Преобразование логических выражений

20.1. Основные законы алгебры логики

Введём обозначения:

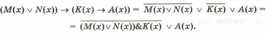
Перепишем исходное выражение в наших обозначениях:

Преобразуем полученное выражение:

Рассмотрим предикат М(х) = (х & 28 ≠ 0). В числе 28 = 111002 4- й, 3-й и 2-й биты содержат единицы, а 1-й и 0-й — нули. Следовательно, множеством истинности этого предиката являются такие числа х, у которых хотя бы один из битов с номерами 4, 3 или 2 содержит единицу. Если и 4-й, и 3-й, и 2-й биты числа х нулевые, то высказывание х & 28 ≠ 0 будет ложным.

Рассмотрим предикат N(x) = (х & 45 ≠ 0). В числе 45 = 1011012 5- й, 3-й, 2-й и 0-й биты содержат единицы, 4-й и 1-й — нули. Следовательно, множеством истинности этого предиката являются такие числа х, у которых хотя бы один из битов с номерами 5, 3, 2 или 0 содержит единицу. Если и 5-й, и 3-й, и 2-й, и 0-й биты числа х нулевые, то высказывание х & 45 ≠ 0 будет ложным.

Рассмотрим предикат К(х) = (х & 17 = 0). В числе 17 = 100012 3-й, 2-й и 1-й биты содержат нули, 4-й и 0-й — единицы. Побитовая конъюнкция 17 и х будет равна нулю, если в числе х 4-й и 0-й биты будут содержать нули. Множество истинности этого предиката — все х с нулями в 4-м и 0-м битах.

По условию задачи надо, чтобы

Так как примем А = (М ∪ N) ∩ К.

Объединением множеств М и N являются все двоичные числа, у которых хотя бы один из битов с номерами 5, 4, 3, 2, 0 содержит единицу. Пересечением этого множества с множеством К будут все двоичные числа, у которых биты с номерами 4 и 0 будут заняты нулями, т. е. такие двоичные числа, у которых хотя бы один из битов с номерами 5, 3, 2 содержит 1. Все эти числа образуют множество А.

Искомое число а должно быть таким, чтобы при любом неотрицательном целом значении переменной х: х & а ≠ 0, и кроме того, оно должно быть минимальным из возможных. Этим условиям удовлетворяет число 1011002. Действительно, единицы в нём стоят в тех и только в тех битах, которые нужны для выполнения условия х & а ≠ 0.

Итак, требуемое число 1011002 или 4410.

Приведите пример такого десятичного числа а, что для него х & а ≠ 0 при любом неотрицательном целом значении десятичной переменной х, но само число а не является минимально возможным.

Пример 5.

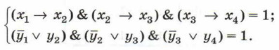
Выясним, сколько решений имеет следующая система из двух уравнений:

Рассмотрим первое уравнение:

    1 → х2) & (х2 → х3) & (х3 → x4) = 1.

Конъюнкция истинна тогда и только тогда, когда истинны все образующие её высказывания. Следовательно, каждая из трёх входящих в конъюнкцию импликаций должна быть равна 1.

Начнем строить дерево решений, представив на нём значения переменных х1 и х2 при которых х1 → х2 = 1.

Продолжим строить дерево решений. Значения переменной х3 будем выбирать такими, чтобы при имеющихся х2 импликация х2 → х3 оставалась истинной.

То же самое проделаем для переменной х4.

На дереве видно, что рассматриваемое нами уравнение имеет 5 решений — 5 разных наборов значений логических переменных х1, х2, х3, х4, при которых выполняется равенство:

    (x1 → х2) & (х2 → x3) & (х3 → x4) = 1.

Так как второе уравнение системы:

можно преобразовать к виду:

    (y1 → y2) & (y2 → y3) & (y3 → y4) = 1.

Следовательно, как и первое уравнение, это уравнение имеет 5 решений. Представим их в табличной форме:

Решение исходной системы логических уравнений — это множество различных наборов значений логических переменных x1, х2, х3, х4, у1, у2, y3, у4 таких, что при подстановке каждого из них в систему оба уравнения превращаются в истинные равенства.

Начнём строить такие наборы или двоичные цепочки. Их началом может служить любой из пяти наборов — решений первого уравнения, а концом — любой из пяти наборов — решений второго уравнения. Например, на основе одного из решений первого уравнения можно построить следующие пять решений системы:

Всего мы можем построить 5 • 5 = 25 решений системы.

Вспомните, как называется теорема комбинаторики, которую мы применили для подсчёта количества решений системы.

<<< К началу

 

 

???????@Mail.ru