Главная >> Информатика 10 класс. Босова

Самое главное. Вопросы и задания

§ 20. Преобразование логических выражений

    Самое главное

Способ определения истинности логического выражения путём построения его таблицы истинности становится неудобным при увеличении количества логических переменных, т. к. за счёт существенного увеличения числа строк таблицы становятся громоздкими. В таких случаях выполняются преобразования логических выражений в равносильные. Для этого используют свойства логических операций, которые иначе называют законами алгебры логики. Аналогичные законы имеют место и в алгебре множеств.

Логическая функция может быть задана с помощью таблицы истинности или аналитически, т. е. с помощью логического выражения.

Для всякой таблицы истинности можно составить соответствующее ей логическое выражение.

    Вопросы и задания

1. Какие из рассмотренных законов алгебры логики аналогичны законам алгебры чисел, а какие нет?

2. Докажите второй закон де Моргана с помощью таблиц истинности.

3. Путём преобразования докажите равносильность следующих высказываний:

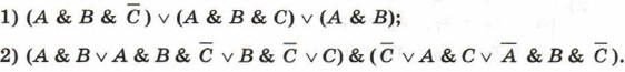
4. Упростите логические формулы:

*5. Найдите X, если

6. На числовой прямой даны два отрезка: Р = [10; 25] и Q = [20; 55]. Укажите наибольшую возможную длину такого отрезка А, что выражение истинно при любом значении переменной х.

7. Элементами множеств А, Р и Q являются натуральные числа, причём Р = {2, 4, 6, 8, 10, 12} и Q = {2, б, 12, 18, 24}. Известно, что выражение истинно при любом значении переменной х. Определите наименьшее возможное количество элементов множества А.

*8. На числовой прямой даны два отрезка: М = [10; 60] и N = [40; 80]. Укажите наименьшую возможную длину такого отрезка А, что выражение истинно при любом значении переменной х.

9. Для какого наименьшего неотрицательного целого десятичного числа А формула x & 25 ≠ 0 → (x & 17 = 0 → x & А ≠ 0) тождественно истинна, т. е. принимает значение 1 при любом неотрицательном целом значении десятичной переменной х? (Здесь & — поразрядная конъюнкция двух неотрицательных целых десятичных чисел.)

*10. Определите наибольшее натуральное десятичное число А, при котором выражение тождественно истинно, т. е. принимает значение 1 при любом натуральном значении десятичной переменной х. (Здесь & — поразрядная конъюнкция двух неотрицательных целых десятичных чисел.)

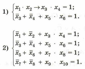
11. Сколько различных решений имеет система уравнений:

12. Сколько существует различных логических функций от четырёх переменных?

13. По заданной таблице истинности составьте логические выражения для функций F1, F2.

14. По известным таблицам истинности запишите аналитическое представление импликации, эквиваленции и строгой дизъюнкции.

15. Логические функции штрих Шеффера и стрелка Пирса названы так в честь математиков, исследовавших их свойства. Подготовьте краткую биографическую справку об одном из этих учёных.

16. По заданной таблице истинности составьте логические выражения для функций F1, F2.

17. Запишите логическое выражение для логической функции F(A, В, С), равной 1 на наборах 011, 101, 110, 111. Попытайтесь упростить полученное выражение.

 

 

???????@Mail.ru