Главная >> Информатика 10 класс. Босова

§ 22. Логические задачи и способы их решения

Решение логических задач путём упрощения логических выражений

Следующий формальный способ решения логических задач состоит в том, чтобы:

    1) выделить из условия задачи элементарные (простые) высказывания и обозначить их буквами;

    2) записать условие задачи на языке алгебры логики, соединив простые высказывания в составные с помощью логических операций;

    3) составить единое логическое выражение, учитывающее все требования задачи;

    4) используя законы алгебры логики, упростить полученное выражение и вычислить его значение;

    5) выбрать решение — набор логических переменных (элементарных высказываний), при котором построенное логическое выражение является истинным;

    6) убедиться, что полученное решение удовлетворяет всем условиям задачи.

Пример 7. На вопрос, кто из трёх учащихся изучал логику, был получен ответ: «Если изучал первый, то изучал и второй, но неверно, что если изучал третий, то изучал и второй». Кто из учащихся изучал логику?

Обозначим через А, В, С простые высказывания:

  • А = «Первый ученик изучал логику»;
  • В = «Второй ученик изучал логику»;
  • С = «Третий ученик изучал логику».

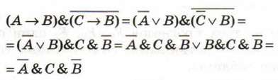
Из условия задачи следует истинность высказывания:

Упростим получившееся высказывание:

Получившееся высказывание будет истинным только в случае, если С — истина, а А и В — ложь. А это значит, что логику изучал только третий ученик, а первый и второй не изучали.

 

 

???????@Mail.ru