Главная >> Информатика 11 класс. Босова

§ 3. Встроенные функции и их использование

Логические функции

Функция, результатом которой является ИСТИНА или ЛОЖЬ, называется логической.

К категории логических относятся функции ЕСЛИ, И, ИЛИ, ИСТИНА, ЛОЖЬ, НЕ.

Функции И, ИЛИ, НЕ позволяют создавать составные логические выражения. Формат этих функций:

    И(логическое_значение1; [логическое_значение2]; ...)

    ИЛИ(логическое_значение1; [логическое_значение2]; ...)

    НЕ(логическоезначение)

Аргументами функций И, ИЛИ, НЕ могут быть логические выражения или ссылки на ячейки, содержащие логические значения.

Функция ЕСЛИ имеет формат:

ЕСЛЩлог выражение; значение_если_истина; значение_если_ложь)

Значение этой функции определяется так:

  • если лог выражение имеет значение ИСТИНА, то значение функции равно значению выражения значение_если_ истина;
  • если лог_выражение имеет значение ЛОЖЬ, то значение функции равно значению выражения значение_если_ложь.

Табличные процессоры имеют и такие функции, которые вычисляют сумму, среднее арифметическое, количество не всех значений из диапазонов ячеек, а только тех, которые удовлетворяют определённому условию:

  • функция СУММЕСЛИ вычисляет сумму тех чисел из указанного диапазона, которые удовлетворяют заданному условию;
  • функция СРЗНАЧЕСЛИ вычисляет среднее арифметическое тех чисел из указанного диапазона, которые удовлетворяют заданному условию;
  • функция СЧЁТЕСЛИ подсчитывает количество ячеек из указанного диапазона, содержимое которых удовлетворяет заданному условию.

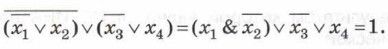
Пример 1. Пример 1. Выясним, сколько решений имеет логическое уравнение ((х1 → х2) → (х3 → х4)) = 1.

Преобразуем исходное уравнение, выразив импликацию через инверсию и дизъюнкцию:

Запишем формулу для вычисления логического выражения с помощью логических функций Microsoft Excel:

    =ИЛИ(И(Х1;НЕ(Х2)); НЕ(ХЗ); Х4).

Внесём данные в таблицу и выполним расчёты — рис. 1.7.

Итак, исходное уравнение имеет 13 решений — столько раз встречается значение ИСТИНА в диапазоне Е2:Е17. Для подсчёта этого значения можно воспользоваться функцией СЧЁТЕСЛИ.

Вспомните другой способ решения этого уравнения.

 

 

???????@Mail.ru