Главная >> Информатика 11 класс. Босова

Вопросы и задания

Встроенные функции и их использование

1. Раскройте суть математического понятия «функция». Что такое аргумент функции? Какие функции вы знаете из курса алгебры?

2. Что представляют собой функции в электронных таблицах? На какие категории они подразделяются?

3. Выясните, чему равен результат функции ОКРУГЛ, если заданное число разрядов больше нуля, меньше нуля, равно нулю.

4. Сколько аргументов могут иметь функции в электронных таблицах? Приведите примеры.

5. Данные каких типов могут быть аргументами функций? Приведите примеры.

6. Какие функции относятся к категории логических?

7. Какие значения будут в ячейках диапазона А2:В5 в результате вычисления по соответствующим формулам?

8. Прочитавте формулу:

    =ЕСЛИ(А1=100; "Всегда"; ЕСЛИ(И(А1>=80; АК100); "Обычно"; ЕСЛИ(И(А1>=60; АК80); "Иногда"; "Никогда"))).

Постройте фрагмент блок-схемы, соответствующий формуле.

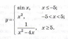
9. Какие формулы надо использовать, чтобы для заданных значений переменной х вычислить соответствующие значения функции?

10. Десять спортсменов-многоборцев принимают участие в соревнованиях по пяти видам спорта: бег на 60 м с барьерами, прыжок в высоту, толкание ядра, прыжок в длину, бег на 800 м. На квалификационном этапе по каждому виду спорта спортсмен может набрать от 0 до 30 очков. Спортсмен проходит в группу финалистов, если он набирает в сумме 100 и более очков. Создайте электронную таблицу следующего вида:

Введите данные и выполните необходимые расчёты.

11. Как изменится цена некоторого товара, если сначала её увеличить на 25%, а затем уменьшить на 25% ?

12. Клиент хочет выяснить, какие условия вклада в банк выгоднее ему: 10,5% годовых с начислением процентов ежемесячно или 12% годовых с начислением процентов каждые полгода. Какая функция нужна для решения этой задачи?

13. Для чего в табличный процессор включены текстовые функции?

 

 

???????@Mail.ru