Главная >> Информатика 11 класс. Босова

Вопросы и задания

Инструменты анализа данных

1. Для чего предназначены диаграммы? Какой анализ числовых данных можно выполнить с их помощью?

2. Назовите основные типы диаграмм, которые могут быть построены в электронных таблицах.

3. Назовите основные объекты диаграмм и их свойства.

4. Опишите виды гистограмм. Для чего предназначен каждый из этих видов?

5. Для чего предназначены круговые диаграммы?

6. Для чего предназначены графики?

7. Перечислите основные операции редактирования диаграмм.

8. Перечислите основные операции форматирования диаграмм.

9. По представленной ниже информации составьте таблицу распределения суши и воды на поверхности земного шара.

Площадь поверхности Земли — 510 072 тыс. кв. км, в том числе площадь суши — 148 940 тыс. кв. км (29,2%), площадь водной поверхности — 361 132 тыс. кв. км (70,8%). При этом суша большей частью лежит в Северном полушарии, а водная поверхность — наоборот, в Южном. В Северном полушарии водная поверхность занимает 61%, а поверхность суши — 39%; для Южного полушария эти соотношения таковы: 81% воды и 19% суши.

По данным полученной таблицы постройте следующие диаграммы:

    1) гистограмму с группировкой;
    2) гистограмму с накоплением;
    3) нормированную гистограмму с накоплением;
    4) объёмную гистограмму с накоплением;
    5) круговую;
    6) линейчатую с группировкой.

10. Дан фрагмент электронной таблицы:

Какое целое число должно быть записано в ячейке С1, чтобы после выполнения вычислений диаграмма, построенная по значениям диапазона ячеек А2:С2, соответствовала рисунку?

11. Можно ли построить круговые диаграммы для данных, содержащих отрицательные числа? Подкрепите свой ответ примерами.

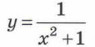
12. В табличном процессоре постройте график функции на отрезке [-2; 2] с шагом 0,2.

13. В табличном процессоре на одной диаграмме постройте графики трёх функций у = sinx, у = 2sinx, у = sin2x на отрезке [-2π; 2π] с шагом

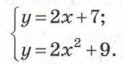
14. На интервале [-1; 1] с шагом ОД решите графически систему уравнений:

15. Что называют сортировкой? Для чего она используется?

16. Сформулируйте правила, определяющие порядок сортировки данных разных типов по убыванию.

17. Какой порядок сортировки можно задать для числовых данных? Для текстовых данных?

18. Что называют фильтрацией? Для чего она используется?

19. Сравните операции сортировки и фильтрации. Что у них общего? Чем они различаются?

20. Используя возможность подбора параметра, решите квадратное уравнение х2 + 2х - 15 = 0.

Дополнительные материалы к главе смотрите в авторской мастерской.

 

 

???????@Mail.ru