Главная >> Информатика 6 класс. Босова

§ 10. Знаковые информационные модели

Математические модели. Знаковые информационные модели

Основным языком информационного моделирования в науке является язык математики.

Модели, построенные с использованием математических понятий и формул, называются математическими моделями.

Пример 4

Рассмотрим текст небольшой заметки из школьной стенгазеты:

После капитального ремонта бассейн «Дельфин» буквально преобразился: просторные раздевалки и душевые сверкают новеньким кафелем, захватывает дух от вида замысловатой горки и пятиметровой вышки, манит голубая гладь водных дорожек. Но самое главное, строители переделали систему водоснабжения бассейна. Раньше бассейн наполнялся водой из одной трубы. На это уходило 30 часов. Теперь строители подвели ещё одну трубу, которая наполняет бассейн за 20 часов. Представляете, как мало времени теперь потребуется для наполнения бассейна, если включить обе эти трубы!

Этот текст можно рассматривать как словесную модель бассейна. Попробуем решить содержащуюся в заметке задачу: узнаем, за сколько часов бассейн наполнится водой через обе трубы.

Если отбросить информацию, несущественную с точки зрения поставленной задачи, то условие задачи можно сформулировать так:

Через первую трубу бассейн наполняется водой за 30 часов, через вторую трубу — за 20 часов. За сколько часов наполнится бассейн, если вода будет поступать через обе трубы одновременно?

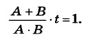
Попробуем решить задачу в общем виде, обозначив время заполнения бассейна через первую и вторую трубы — через A и В соответственно. Примем за 1 весь объём бассейна, искомое время обозначим через t.

Так как через первую трубу бассейн наполняется за А часов, то 1/А— часть бассейна, наполняемая первой трубой за 1 час; 1/В — часть бассейна, наполняемая второй трубой за 1 час.

Следовательно, скорость наполнения бассейна первой и второй трубами вместе составит: 1/А + 1/В.

Можем записать:

Мы получили математическую модель, описывающую процесс наполнения бассейна из двух труб.

Преобразуем выражение в скобках:

Формула (1) примет вид:

Теперь искомое время может быть вычислено по формуле:

Несложно подсчитать, что при исходных данных А = 30 и В = 20 искомое время равно 12 часам.

Пример 5

На шоссе расположены пункты А и В, удалённые друг от друга на 20 км. Мотоциклист выехал из пункта В в направлении, противоположном пункту А, со скоростью 50 км/ч (рис. 31).

Составим математическую модель, описывающую положение мотоциклиста относительно пункта А через t часов. За t часов мотоциклист проедет 50f км и будет находиться от А на расстоянии 50t км + 20 км. Если обозначить буквой s расстояние (в километрах) мотоциклиста до пункта А, то зависимость этого расстояния от времени движения можно выразить формулой

    s = 50t + 20.

 

 

???????@Mail.ru