Главная >> Информатика 7 класс. Босова

§ 1.6. Измерение информации

1.6.3. Информационный объём сообщения

Информационный объём сообщения (количество информации в сообщении), представленного символами естественного или формального языка, складывается из информационных весов составляющих его символов.

Информационный объём сообщения I равен произведению количества символов в сообщении К на информационный вес символа алфавита i;
    I = К • i.

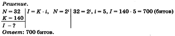
Задача 2. Сообщение, записанное буквами 32-символьного алфавита, содержит 140 символов. Какое количество информации оно несёт?

Задача 3. Информационное сообщение объёмом 720 битов состоит из 180 символов. Какова мощность алфавита, с помощью которого записано это сообщение?

 

 

???????@Mail.ru