Главная >> Информатика 8 класс. Босова

§ 2.3. Объекты алгоритмов

Объекты алгоритмов. Вопросы и задания (окончание)

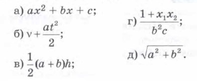
14. Запишите на алгоритмическом языке:

15. Запишите логическое выражение, истинное при выполнении указанного условия и ложное в противном случае:

    а) х принадлежит отрезку [0, 1];
    б) д: лежит вне отрезка [0, 1];
    в) каждое из чисел х, у положительно;
    г) хотя бы одно из чисел х, у положительно;
    д) ни одно из чисел х, у не является положительным;
    е) только одно из чисел х, у положительно.

16. Изобразите в декартовой прямоугольной системе координат область, в которой и только в которой истинны следующие логические выражения:

    а) (х>=-1) и (х<=1) и (у>=—1) и (у<=1);
    б) (у>=х) и (у>=-х) и (у<=1).

17. Запишите логическое выражение, принимающее значение TRUE, когда точка с координатами (х, у) принадлежит закрашенной области.

18. Запишите команду присваивания, в результате выполнения которой логическая переменная t получает значение TRUE, если выполняется указанное условие, и значение FALSE в противном случае:

    а) х — положительное число;
    б) хотя бы одно из чисел х, у, г равно нулю;
    в) числа х, у, z равны между собой.

19. Какие из приведённых ниже величин целесообразно представлять с помощью таблиц?

Величины, список учеников класса, рост учеников класса, средний рост учеников класса, оценка ученика по физике, средний балл ученика по физике, оценки учеников за контрольную работу по информатике, длины сторон треугольника, длины сторон нескольких треугольников, названия дней недели, имя человека, площадь фигуры, периметры нескольких прямоугольников, самая холодная температура воздуха в январе, количество девочек в классе, самая дождливая декада июня.

Ответы: Объекты алгоритмов

    10. Не более одной переменной.

    15. г) (х > 0) или (у > 0);
    е) ((х > 0) и (у <= 0)) или ((y > 0) и (x <= 0)).

    18. a) t:=x>0; B) t:= (x=y) и (x=z).

<<< К началу

 

 

???????@Mail.ru