Главная >> Информатика 9 класс. Босова

§ 2.1. Решение задач на компьютере

Задача о пути торможения автомобиля

Рассмотрим последовательность прохождения этапов решения задачи на компьютере (см. рис. 2.1) на примере простой задачи.

Водитель автомобиля, движущегося с некоторой постоянной скоростью, увидев красный свет светофора, нажал на тормоз. После этого скорость автомобиля стала уменьшаться каждую секунду на 5 метров. Требуется найти расстояние, которое автомобиль пройдёт до полной остановки.

Первый этап. Дано:

    υ0x — начальная скорость;
    υx — конечная скорость (равна нулю, так как автомобиль остановился);
    ах — ускорение (равно -5 м/с).

Требуется найти: sx — расстояние, которое автомобиль пройдёт до полной остановки.

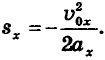
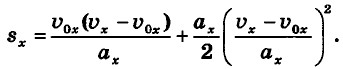
Второй этап. В данной ситуации мы имеем дело с прямолинейным равноускоренным движением тела. Формула для перемещения при этом имеет вид:

Упростим эту формулу с учётом того, что конечная скорость равна нулю: При аx = -5 м/с получим:

Третий этап. Представим алгоритм решения задачи в виде блок-схемы:

Четвёртый этап. Запишем данный алгоритм на языке программирования Паскаль:

    program n_1;

      var v0, s: real;

    begin

      writeln('Вычисление длины пути торможения автомобиля');
      write('Введите начальную скорость (м/с)»');
      readln (v0); s:=v0*v0/10;
      writeln ('До полной остановки автомобиль пройдёт ' , s : 8 : 4, ' м. ')

    end.

Пятый этап. Протестировать составленную программу можно, используя информацию, что при скорости 72 км/ч с начала торможения до полной остановки автомобиль проходит 40 метров.

Выполнив программу несколько раз при различных исходных данных, можно сделать вывод: чем больше начальная скорость автомобиля, тем большее расстояние он пройдёт с начала торможения до полной остановки.

Применяя компьютер для решения задач, всегда следует помнить, что наряду с огромным быстродействием и абсолютной исполнительностью у компьютера отсутствуют интуиция и чувство здравого смысла, и он способен решать только ту задачу, программу решения которой ему подготовил человек.

САМОЕ ГЛАВНОЕ

Этапы решения задачи с использованием компьютера:

    1) постановка задачи;
    2) формализация;
    3) алгоритмизация;
    4) программирование;
    5) компьютерный эксперимент.

Для решения задач на компьютере необходимо владеть языком программирования, обладать знаниями в области информационного моделирования и алгоритмизации.

 

 

???????@Mail.ru