Главная >> Информатика 9 класс. Босова

§ 2.2. Одномерные массивы целых чисел

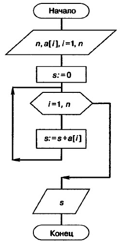
Вычисление суммы элементов массива

Пример. В некотором населённом пункте n домов. Известно, сколько людей проживает в каждом из домов. Составим алгоритм подсчёта количества жителей населённого пункта.

Исходные данные (количество жильцов) здесь представлены с помощью одномерного массива а, содержащего n элементов: а[1] — количество жильцов дома 1, а[2] — количество жильцов дома 2, ..., а[n] — количество жильцов дома n. В общем случае a[i] — количество жильцов дома i, где i принимает целочисленные значения от 1 до Результат работы алгоритма обозначен через s.

Суммирование элементов массива осуществляется по тому же принципу, что и суммирование значений простых переменных: за счёт поочерёдного добавления слагаемых:

    1) определяется ячейка памяти (переменная а), в которой будет последовательно накапливаться результат суммирования;

    2) переменной s присваивается начальное значение 0 — число, не влияющее на результат сложения;

    3) для каждого элемента массива из переменной s считывается её текущее значение и складывается со значением элемента массива; полученный результат присваивается переменной а.

Описанный процесс наглядно можно изобразить так:

Запишем соответствующую программу на языке Паскаль.

Сравните программы n_2 и n_3. Выделите в них общие блоки. Обратите внимание на различия.

 

 

???????@Mail.ru