Главная >> Информатика 9 класс. Босова

Этапы построения информационной модели

Любая модель строится для решения некоторой задачи. Построение информационной модели начинается с анализа условия этой задачи, выраженного на естественном языке (рис. 1.2).

    Этапы создания информационной модели

В результате анализа условия задачи определяется объект моделирования и цель моделирования.

После определения цели моделирования в объекте моделирования выделяются свойства, основные части и связи между ними, существенные с точки зрения именно этой цели. При этом должно быть чётко определено, что дано (какие исходные данные известны, какие данные допустимы) и что требуется найти в решаемой задаче. Также должны быть указаны связи между исходными данными и результатами.

Следующим этапом построения информационной модели является формализация — представление выявленных связей и выделенных существенных признаков объекта моделирования в некоторой форме (словесное описание, таблица, рисунок, схема, чертёж, формула, алгоритм, компьютерная программа и т. д.).

Формализация — это замена реального объекта его формальным описанием, т. е. его информационной моделью.

Пример. Ученик 9 класса к уроку литературы должен выучить наизусть три первые строфы первой главы романа А. С. Пушкина «Евгений Онегин», содержащие 42 строки. Сколько ему потребуется времени на выполнение этого задания, если первую строку он может запомнить за 5 секунд, а на запоминание каждой следующей строки ему требуется времени на 2 секунды больше, чем на запоминание предыдущей строки?

В данном случае объектом моделирования является процесс запоминания стихотворения учеником; цель моделирования состоит в том, чтобы получить формулу для расчёта времени, необходимого ученику для заучивания стихотворения.

С точки зрения цели моделирования, существенной является следующая информация: время запоминания первой строки (5 секунд); разница во времени запоминания очередной и предыдущей строк (2 секунды); количество строк, подлежащих запоминанию (42 строки). Это исходные данные. Результатом должно стать время, необходимое для заучивания всех 42 строк фрагмента романа.

Так как время для заучивания каждой строки, начиная со второй, получается добавлением ко времени, требуемому для заучивания предыдущей строки, постоянного числа, то можно говорить об арифметической прогрессии:

    5, 7, 9, 11, ...

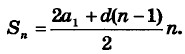
Первым членом этой прогрессии является а1 = 5, разность прогрессии d = 10, число членов прогрессии п = 42.

Из курса алгебры известна формула для вычисления суммы п первых членов арифметической прогрессии:

Эта формула и является искомой информационной моделью. С её помощью самостоятельно вычислите время, необходимое ученику для заучивания стихотворения.

Информационные модели существуют отдельно от объектов моделирования и могут подвергаться обработке независимо от них. Построив информационную модель, человек использует её вместо объекта-оригинала для исследования этого объекта, решения поставленной задачи.

По адресу http://earth.google.com/intl/ru/ размещено приложение «Google Планета Земля», предоставляющее возможность путешествовать по нашей планете, не вставая с кресла. Это трёхмерная модель планеты, перемещаясь по которой вы можете: просматривать спутниковые фотографии земной поверхности; осматривать города, отдельные здания и всемирно известные достопримечательности в трёхмерном изображении; исследовать отдалённые галактики, созвездия и планеты; совершать путешествия в прошлое и т. д.

 

 

???????@Mail.ru