Главная >> Информатика 9 класс. Босова

§ 2.3. Конструирование алгоритмов

Вспомогательные алгоритмы (продолжение)

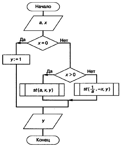
Степень с целым показателем у = ах, где х — целое число, а ≠ 0 вычисляется так:

В приведённой записи дважды фигурирует вычисление степени с натуральным показателем. Поэтому в алгоритм вычисления степени с целым показателем можно включить вызов вспомогательного алгоритма вычисления степени с натуральным показателем. Соответствующая блок-схема:

Алгоритм, представленный на блок-схеме, является основным по отношению к вызываемому в нём вспомогательному алгоритму.

Параметрами используемого вспомогательного алгоритма являются величины а, n, у. Это формальные параметры, они используются при описании алгоритма. При конкретном обращении к вспомогательному алгоритму формальные параметры заменяются фактическими параметрами, т. е. именно теми величинами, для которых будет исполнен вспомогательный алгоритм. Типы, количество и порядок следования формальных и фактических параметров должны совпадать.

Команда вызова вспомогательного алгоритма исполняется следующим образом (рис. 2.4):

    1) формальные входные данные вспомогательного алгоритма заменяются значениями фактических входных данных, указанных в команде вызова вспомогательного алгоритма;
    2) для заданных входных данных исполняются команды вспомогательного алгоритма;
    3) полученные результаты присваиваются переменным с именами фактических результатов;
    4) осуществляется переход к следующей команде основного алгоритма.

Алгоритм, в котором прямо или косвенно содержится ссылка на него же как на вспомогательный алгоритм, называют рекурсивным.

<<< К началу          Окончание >>>

 

 

???????@Mail.ru