Главная >> История Древнего мира 5 класс. Данилов

Раздел IV

Империи эллинов и римлян

    Главное, чему необходимо научиться

с точки зрения авторов:

    — на примере истории древних империй греков и римлян определять причины и последствия изменений в условиях жизни людей в обществе;

    — преодолевать и предотвращать конфликты между людьми, зная, из-за чего они возникали в древних империях и чем заканчивались.

    Проверь, готов ли ты овладевать умениями этого раздела

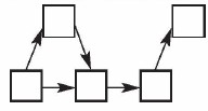
В своей тетради составь логическую цепочку причин и следствий изменений в обществе.

Правильно расставь номера событий в схеме:

    СПИСОК СОБЫТИЙ:

1. Наём чиновников и солдат.

2. Замена временных даров властям постоянными налогами.

3. Расслоение общинников на богатых и бедных.

4. Объединение нескольких родовых посёлков в одну общину с единым собранием, властями, ополчением.

5. Установление единовластия военачальника.

    Признаки успешного выполнения задания

    Необходимый уровень (хорошо): правильно вписаны номера в прямую цепочку событий (выделенные квадраты, выделенные события).

    Повышенный уровень (отлично): правильно вписаны все номера событий как в прямую цепочку, так и в боковые ответвления.

Проверь себя по словарю, учебнику или с помощью учителя. Если возникают затруднения, то вместо ответа напиши, каких умений и знаний тебе не хватает.

Если хочешь, выбери проект или предложи свой:

Исследование. Великие люди эллинизма и Рима — сходства и различия.

Изделие. Реконструкция предмета античного быта (посуда, одежда, украшение и т.п.).

Действо. Диспут трёх команд в ролях сторонников «эллинистической культуры», «римских порядков», «раннего христианства».

Выделенные факты и понятия необходимо запомнить и уметь использовать

776 г. до н.э. — первые Олимпийские игры в Древней Г реции.

Ок. 753 г. до н.э — легендарное основание Рима, начало цивилизации Древнего Рима (латинский алфавит и др.).

594 г. до н.э. — законы Солона в Афинах - основа демократии.

510 г. до н.э. - изгнание царя — Римская республика.

500—448 гг. до н.э. — Греко-персидские войны.

494 г. до н.э. — первый открытый конфликт плебеев и патрициев.

367 г. до н.э. — в Академию Платона приезжает Аристотель.

338 г. до н.э. — подчинение Греции царю Македонии Филиппу II. — Подчинение Риму его союзников — латинов.

334—325 гг. до н.э. — завоевания Александра Македонского.

323—280 гг. до н.э. — распад державы Александра Македонского на эллинистические монархии.

Ок. 297 г. до н.э. — основание Александрийской библиотеки — главного центра культуры эллинистической цивилизации.

290 г. до н.э. — создание Италийского союза во главе с Римом.

218—201 гг. до н.э. — 2-я война Рима и Карфагена - установление господства Рима в Западном Средиземноморье.

146 г. до н.э. — разрушение Карфагена и Коринфа — господство Рима над всем Средиземноморьем.

133—122 гг. до н.э. — законы Гракхов, защищающие бедных.

107 г. до н.э. — начало создания профессиональной армии Рима.

88—82 гг. до н.э. — начало гражданских войн в Риме.

74—71 гг. до н.э. — восстание рабов во главе со Спартаком.

49—44 гг. до н.э. — диктатура Юлия Цезаря и его убийство.

30 г. до н.э.—14 г. н.э. - правление Октавиана Августа - установление Римской империи (принципата). Расцвет античной цивилизации (римские законы) в Средиземноморье.

30-е гг. н.э. — проповеди Иисуса Христаначало христианства.

106 г. н.э. — последние завоевания и начало расцвета Рима II века.

193 г. н.э. — начало гражданских войн. Кризис III века.

284—305 гг. н.э. — Диоклетиан: доминат и гонения на христиан.

313 г. н.э. — закон Константина о свободе вероисповедания.

325 г. н.э. — Никейский собор христианской церкви, утверждение канона книг Нового Завета.

395 г. н.э. - разделение империи на Западную и Восточную.

410 г. н.э. 1ма германскими племенами готов.

476 г. н.э. - падение Западной Римской империи.

 

 

???????@Mail.ru