Главная >> Математика 4 класс. Петерсон

Часть 3

Задачи на повторение

1. Найди закономерность и продолжи ряд на три числа:

Найди закономерность и продолжи ряд на три числа

2. Запиши следующие три числа в последовательности, сохраняя закономерность:

50, 505, 5050, 50 505,______________,______________,_______________.

Прочитай записанные числа. Сколько цифр используется для их записи?

3. Прочитай число: 75 860 000 706.

а) Сколько в нем классов? Назови их. Какие еще названия классов ты знаешь?

б) Сколько разрядов в каждом классе и как они называются?

в) Какая цифра стоит в разряде сотен миллионов данного числа? Сколько в нем всего сотен миллионов?

г) Что означает цифра 7 в записи этого числа?

4. Запиши цифрами числа:

а) восемьсот четыре тысячи двести;

б) тридцать тысяч девятьсот девять;

в) шесть миллионов семьдесят три;

г) пятнадцать миллиардов пятьдесят шесть тысяч;

д) наибольшее восьмизначное число;

е) наименьшее десятизначное число.

5. Запиши цифрами и прочитай числа:

а) 840 тыс. = ________________ в) 32 млн. = ________________

б) 5076 тыс. =________________ г) 124 045 млн. =________________

6. Запиши и прочитай числа, представленные в виде суммы разрядных слагаемых. Назови разряды, в которых отсутствуют единицы в записи этих чисел.

а) 200+ 10 +4 =________________ в) 5000 + 600 + 2 =________________

б) 800 + 90_____________________г) 18 000 + 30 + 1 =________________

д) 100 000 + 4000 + 300 + 40 + 7 =________________

е) 8 000 000 + 60 000 + 200 + 50 =________________

7. Представь числа в виде суммы разрядных слагаемых: а) 428; б) 701; в) 950; г) 3075; д) 25 002; е) 780 430; ж) 6 290 056.

8. а) Вырази число 5609 в десятках и единицах; в сотнях и единицах; в тыся чах и единицах.

б) Вырази 5609 мм в сантиметрах и миллиметрах; в дециметрах и миллиметрах; в метрах и миллиметрах.

в) Вырази 5609 с в минутах и секундах; в часах, минутах и секундах.

9. а) Запиши цифры римской нумерации, обозначающие числа:

    Запиши цифры римской нумерации, обозначающие числа

Как записываются числа в этой нумерации?

б) Запиши арабскими цифрами числа: XIV, XXI, CXLVI, CCCLXIX, DCXII, MCDVIII.

в) Запиши римскими цифрами числа: 25, 74, 48, 83, 316, 532, 1249.

12.* Прочитай в энциклопедии, как обозначали числа древние вавилоняне. Запиши в вавилонской нумерации числа 25, 74, 346, 532. Запиши эти числа в древнерусской нумерации, используя правила, заданные в № 14 на стр. 12.

13. Сравни числа:

    Сравни числа

14. В числах вместо некоторых эти числа?

    В числах вместо некоторых эти числа

15. Запиши для каждого неравенства множество цифр, при подстановке которых вместо звездочки получается верное высказывание:

16. Является ли число 4 решением неравенства 9 - х < 3? Докажи. Приведи пример неравенства, решением которого является это число.

17. Найди пересечение множеств натуральных решений неравенств 7 < x ≤ 12 и 0 ≤ y -5 < 6. Построй диаграммы Эйлера-Венна этих множеств.

18. Найди объединение множеств натуральных решений неравенств 12 - х ≥ 7 и 3 ≤ у < 8. Построй диаграммы Эйлера-Венна этих множеств.

19. Пользуясь деревом возможностей, определи, сколько можно составить четырехзначных чисел с цифрой тысяч 1 или 2, цифрой сотен 0, 4 или 7, цифрой десятков 5 или 3 и цифрой единиц 8 или 9. Найди произведение наибольшего и наименьшего из этих чисел.

20. Какая из величин больше и на сколько:

а) 6 км 48 м или 752 м;         д) 8 т 6 ц 7 кг или 2989 кг;

б) 4 дм 3 мм или 96 см;         е) 52 ц или 520 000 г;

в) 5 мин или 400 с;                 ж) 7 м2 3 дм2 или 78 дм2 62 см2;

г) 2 сут. 45 мин или 23 ч 58 мин;     з) 916 мм3 или 9 см316 мм3?

21. Какая из величин меньше и во сколько раз:

а) 2 км 10 м или 402 м;         д) 3 т 72 кг или 3 ц 84 кг;

б) 35 мм или 14 м;          е) 28 ц или 28 000 000 г;

в) 1 ч или 45 с;              ж) 2 м2 40 см2 или 33 дм2 40 см2;

г) 8 сут. 8 ч или 800 ч;         з) 125 мм3 или 40 см3?

22. Запиши высказывание в виде равенства тремя разными способами:

    Запиши высказывание в виде равенства тремя разными способами

23. В школе 25 классов, в каждом из которых от 30 до 40 учеников. Пусть x — число учеников во всех классах. Запиши оценку значений переменной x в виде двойного неравенства. Какая из границ (верхняя или нижняя) точнее указывает примерное число учеников в классе, если в школе 814 учеников? 964 ученика?

24. Укажи три признака, по которым можно классифицировать фигуры на рисунке. Разбей эти фигуры на части по форме и напиши соответствующие буквенные и числовые равенства. Отметь в каждом равенстве части и целое.

25. Вставь в “окошки” пропущенные цифры и сделай проверку:

     Вставь в “окошки” пропущенные цифры и сделай проверку

26. Прочитай выражения и найди их значения. Сделай проверку,

а) 56 926 049 + 2 739 487 958;
б) 30 720 034 851 - 6 087 336 257;
в) 814 638 572 467 + 46 274 579 455;
г) 497 730 460 002 - 98 790 873 256.

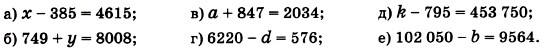
27. Найди и отметь в уравнениях части и целое. Реши уравнения с комментированием по компонентам действий. Сделай проверку.

28. Расшифруй имя известного древнегреческого математика, расположив ответы примеров в порядке убывания и сопоставив им соответствующие буквы:

29. Во время выборов в городе за одного из трех кандидатов проголосовало 34 026 избирателей, за второго — на 5847 избирателей больше, чем за первого, а за третьего — на 2685 избирателей меньше, чем за второго. Сколько человек проголосовало за этих трех кандидатов? Сколько человек не пришло на избирательные участки, если всего в этом городе по спискам 206 315 избирателей, а испорченных бюллетеней не было?

Продолжение >>>

 

 

???????@Mail.ru