Главная >> Математика 4 класс. Петерсон

Часть 2. Урок 3

Сложение дробей

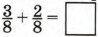
1. Круг разделен на 8 равных частей. Раскрась круга синим цветом, а круга — красным цветом. Какая часть круга закрашена? Найди сумму:

Как сложить две дроби с одинаковыми знаменателями?

Сложение дробей

2. Найди сумму двух дробей и проиллюстрируй решение на чертеже:

3. Сложи дроби с помощью числового луча:

4. Выполни действия:

5. Выполни действия. Что ты замечаешь?

6. а) Масса помидора а масса огурца Какова общая масса помидора и огурца в килограммах, в граммах? б) Помидорами занято огорода, а огурцами — огорода. Какая часть огорода занята помидорами и огурцами? Что занимает бо́льшую площадь — помидоры или огурцы?

7. Заполни таблицы:

8. Найди значение выражения если

9. Представь произведение в виде суммы и найди его значение:

Можно ли быстрее выполнить умножение дроби на натуральное число?

Окончание >>>

 

 

???????@Mail.ru