Главная >> Математика 4 класс. Петерсон

Часть 2

Сложение и вычитание смешанных чисел. Урок 13

1. а) На сколько равных частей разделен квадрат на рисунке? Закрась красным цветом квадрата. Какая часть квадрата осталась незакрашенной?

б) Составь из чисел и 1 все возможные равенства. Объясни их смысл.

в) Выполни действия:

2. Выполни действия с фигурами и допиши равенства.

Сделай вывод.

Сложение и вычитание смешанных чисел

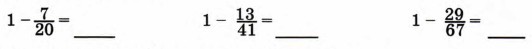
3. Найди значения разностей:

4. Чем похожи и чем отличаются выражения:

Найди их значения.

5. Восстанови цепочку вычислений:

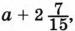
6. а) Найди значение выражения если

б) Найди значение выражения если

7. Реши уравнения:

8. Известно, что m на 8 больше, чем n. Вася, Денис и Кирилл записали это так:

Кто из них прав?

Окончание >>>

 

 

???????@Mail.ru