Главная >> Математика 4 класс. Петерсон

Часть 2

Сложение и вычитание смешанных чисел. Урок 14

1. Составь по рисункам примеры и реши их:

2. Найди ошибки в решении примеров и исправь их:

3. Вычисли устно и запиши ответ:

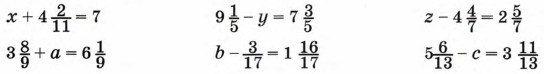
4. Реши уравнения:

5. а) В один из дней зимних каникул мальчик катался на лыжах а на коньках на меньше. Сколько времени он катался на лыжах и на коньках вместе?

б) Длина прямоугольника а ширина на меньше длины. Найди периметр прямоугольника и вырази его в сантиметрах.

6. Первая сторона треугольника равна а вторая на больше, чем первая. Найди длину третьей стороны, если периметр треугольника равен 16 см. Вырази ответ в миллиметрах.

7. а) Составь программу действий и вычисли:

Вычеркни из таблицы ответы примеров и соответствующие им буквы. Оставшееся в таблице слово обозначает населенную человеком часть Земли.

Окончание >>>

 

 

???????@Mail.ru