Главная >> Математика 4 класс. Петерсон

Часть 2

Сложение и вычитание смешанных чисел. Урок 15

1. Допиши, если это возможно, равенства так, чтобы они были верны при всех значениях переменной а:

2. При каких значениях переменной верно равенство:

3. Расшифруй фамилию известного путешественника, расположив ответы примеров в порядке убывания и сопоставив их соответствующим буквам. Чем он знаменит и в каком веке он жил?

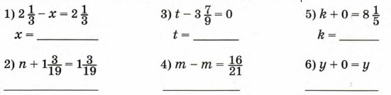
4. Реши уравнения:

5. В первом пакете было муки. Когда из него отсыпали муки, то в нем стало на меньше муки, чем во втором пакете. Сколько килограммов муки было в двух пакетах?

6. На приготовление домашнего задания ученик рассчитывал потратить но потратил на больше. На прогулку во дворе он потратил на меньше, чем на приготовление домашнего задания. Сколько всего времени потратил ученик на прогулку и домашнее задание?

7. Запиши частные в виде дробей. Там, где это возможно, выдели целую часть. Расположи полученные числа в порядке возрастания, сопоставив их соответствующим буквам, и ты узнаешь, как называют ученого, изучающего культуру разных народов.

8. 1) Мальчик прошел 25 км за 4 ч. С какой скоростью он шел?

2) Черепаха проползла 7 м за 8 мин. Какова ее скорость?

9. Ученик решил 12 уравнений за 40 мин. Сколько минут он решал одно уравнение, если на каждое тратил времени поровну? Сколько секунд он потратил на решение каждого уравнения?

Окончание >>>

 

 

???????@Mail.ru