Главная >> Математика 4 класс. Петерсон

Часть 2

Сложение и вычитание смешанных чисел. Урок 16

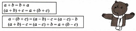
1. а) Объясни смысл равенств, выражающих свойства сложения и вычитания. При каких значениях переменных а, b и с они верны?

б) Найди выражения, значения которых равны, и обозначь их одинаковыми значками. Проверь правильность решения с помощью вычислений:

в) Вычисли наиболее простым способом:

2. Назови 3 правильные дроби, числитель которых больше, чем 100, и 3 неправильные дроби, знаменатель которых больше, чем 200.

3. Верно ли, что:

4. Найди ошибки в решении примеров и исправь их:

5. Внимательно изучи “шифровку”:

Окончание >>>

 

 

???????@Mail.ru