Главная >> Математика 4 класс. Петерсон

Часть 2. Урок 17

Шкалы. Математика 4 класс

7. Обведи истинные высказывания:

Составь из соответствующих букв имя героя мультфильма.

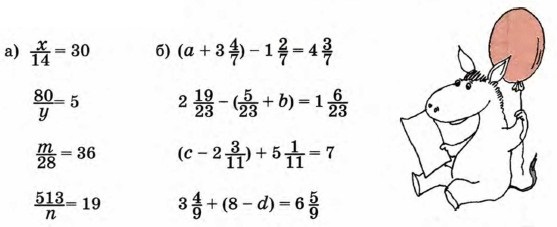
8. Реши уравнения:

9. Костя в первый час прошел а во второй час — на больше, чем в первый час. За эти два часа он прошел на больше, чем в третий час. Сколько километров прошел Костя за все 3 часа?

10. Автомобиль проехал за 3 часа В первый час он проехал Это на меньше, чем он проехал во второй час. Сколько километров проехал автомобиль в третий час пути?

11. а) Определи по рисунку, из какого города выехал мотоциклист и с какой скоростью он едет? Изобрази его движение на числовом луче и определи, через сколько часов после выезда он прибудет во Владимир? На каком расстоянии от Костромы и от Владимира был мотоциклист через 3 ч после выезда?

б) Пусть s — путь, пройденный мотоциклистом, d — его расстояние от Костромы и D — его расстояние до Владимира. Заполни таблицу и запиши формулы зависимости величин s, d и D от времени движения t.

12. Запиши множество дробей числитель которых удовлетворяет неравенству 4 < а ≤ 6, а знаменатель — неравенству 5 ≤ b < 8. Разбей это множество на части: правильные и неправильные дроби. Является ли это разбиение классификацией?

13. Расшифруй пословицу:

14*. Литературная викторина “Без буквы М”.

Напиши интересный рассказ о школе, состоящий не менее чем из 5 фраз, в котором полностью отсутствует буква М.

<<< К началу

 

 

???????@Mail.ru