Главная >> Математика 4 класс. Петерсон

Часть 2

Формула одновременного движения. Урок 34. Математика 4 класс

8. а) Скорость самолета равна 12 км/мин. Вырази его скорость в километрах в час.

б) Поезд ехал со скоростью 1200 м/мин. Вырази его скорость в километрах в час.

в) Грузовик за 1 час проехал 48 км. Чему равна скорость грузовика, выраженная в метрах в минуту?

г) Скорость автобуса 900 м/мин. Чему равна его скорость, выраженная в километрах в час?

9. Реши уравнения:

а) 8 • (36 - х : 4) = 240;         б) 540 : (у + 12) - 9 = 18.

10. Расшифруй и отгадай загадку:

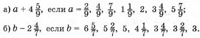
11. Найди значения выражений:

12. Вставь пропущенные числа. Сделай проверку, выполнив обратное действие.

13. Запиши множество чисел, кратных 100 и удовлетворяющих неравенству 23 758 < x < 24 200.

14. В палатку привезли 96 кг винограда. Продали 8 ящиков по 10 кг винограда в каждом. Во сколько раз больше винограда продали, чем осталось?

15*. Игра “Найди число”.

16*. Найди все возможные трехзначные числа, которые можно составить из цифр 1, 2, 3, если цифры в записи числа: а) не повторяются; б) могут повторяться.

<<< К началу

 

 

???????@Mail.ru