Главная >> Математика 4 класс. Петерсон

Часть 1. Урок 8

Оценка произведения. Математика 4 класс

8. Найди пересечение и объединение множеств решений двух неравенств: 3 < х ≤ 7 и 5 ≤ х ≤ 9.

9. В поезде Москва — Тольятти 17 вагонов. Из них 6 вагонов плацкартные, а остальные купейные. В каждом плацкартном вагоне 54 места, а в купейном — 36 мест. На этот поезд уже продано 87 билетов в плацкартные вагоны, а в купейные — в 3 раза больше билетов, чем в плацкартные. Поставь разумные вопросы к этому условию и ответь на них.

10*. В записи 12 3 4 5 между цифрами поставь знаки действий и скобки так, чтобы получилось выражение, значение которого равно 100.

11*.

      Шел Кондрат в Ленинград,
      А навстречу — двенадцать ребят,
      У каждого — по 3 лукошка,
      В каждом лукошке — кошка,
      У каждой кошки — 12 котят,
      У каждого котенка в зубах по 4 мышонка.
      И задумался старый Кондрат:
      Сколько мышат и котят
      Ребята несут в Ленинград?

12. Викторина “В мире животных”.

В нашей стране водится много бобров. Бобр крупный грызун, ведет полуводный образ жизни, обитает по лесным рекам, сооружает из ветвей и ила домики, поперек реки делает плотины длиной от 5 м до 6 м.

1) Узнай длину тела бобра (в сантиметрах), выполнив действия по программе:

Вырази длину тела бобра в дециметрах, в метрах.

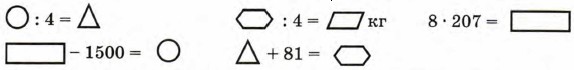
2) Узнай массу бобра (в килограммах):

Назови геометрические фигуры, которые встречаются в этом задании.

Используя результаты вычислений, ответь на вопросы:

    а) На сколько 100 больше 39?
    б) Во сколько раз 25 меньше 100?
    в) На сколько надо умножить 39, чтобы получить 156?
    г) Чему равно частное от деления 1656 на 8?

3) Бобр отличный пловец и ныряльщик. Узнай, какое максимальное время он может находиться под водой, выбрав наименьшее из полученных значений х.

<<< К началу

 

 

???????@Mail.ru