Главная >> Математика 4 класс. Петерсон

Часть 1. Урок 10

Прикидка результатов арифметических действий. Математика 4 класс

8. Реши уравнения с комментированием и сделай проверку:

а) (920 - х) : 20 + 25 = 63;       б) (150 : у + 7) • 40 = 480.

9. Найди множества решений двух неравенств. Что ты замечаешь?

а) а < 5 и а ≤ 5; б) 3 > b и с < 3; в) x > 7 и х ≥ 8.

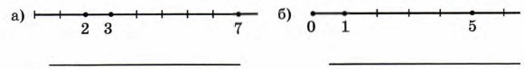
10. На луче указаны некоторые числа. Запиши неравенство так, чтобы отмеченные числа были его решениями.

Существуют ли другие неравенства, удовлетворяющие этому условию? Приведи примеры.

11. Укажи наибольшее решение неравенства:

x < (294 • 7500 - 3 690 460 : 5) : 4 - 359 999.

12. Сравни выражения:

13. Построй диаграмму Эйлера-Венна множеств А, В, С и D, если

    А — множество животных,
    В — множество птиц,
    С — множество рыб,
    D — множество животных, занесенных в Красную книгу.

Назови несколько элементов множества D.

Приведи примеры подмножеств множества В.

14. Сколько углов ты видишь на чертеже? Назови их. Есть ли среди этих углов острые углы? Прямые углы? Тупые углы?

15*. Замени буквы цифрами так, чтобы получилось верное равенство (одинаковым буквам соответствуют одинаковые цифры, а разным — разные).

У задачи два решения. Найди их.

<<< К началу

 

 

???????@Mail.ru