Главная >> Математика 4 класс. Петерсон

Часть 1. Урок 12

Деление с однозначным частным

1. Выполни деление 218 : 35. Что ты замечаешь? Какими способами можно записать решение этого примера?

2. Выполни деление с остатком:

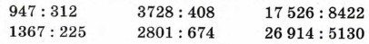
3. Выполни деление с остатком и сделай проверку:

4. Прочитай число: 18 560 025. Что означает каждая из цифр 5 в записи этого числа? Какая цифра записана в разряде десятков тысяч? Сколько всего десятков тысяч в этом числе? Увеличь его на 9 единиц, в 9 раз. Уменьши на 9 единиц, в 9 раз.

5. У Марины сегодня день рождения. Она младше своего родного брата, которому неделю назад исполнилось 8 лет. Сколько лет может быть Марине? Составь неравенство и укажи множество его решений.

6. Какие из чисел 7, 25, 124, 0 являются решениями данных неравенств?

7*. Летели галки и сели на палки. Палок было 5. Если галки сядут по одной на каждую палку, то некоторым галкам не хватит места, а если они сядут по две на каждую палку, то некоторые палки останутся свободными. Сколько было галок?

8. На решение трех задач Петя потратил а минут. Первую задачу он решал b минут, а вторую — на с минут дольше, чем первую. Сколько времени он решал третью задачу? Составь выражение и найди его значение при а = 25, b = 7, с = 5.

Окончание >>>

 

 

???????@Mail.ru