Главная >> Математика 4 класс. Петерсон

Часть 1. Урок 25

Нахождение числа по доле

1. Мешок муки разделили на 5 одинаковых частей. Каждая часть весит 10 кг. Сколько килограммов весит вся мука?

Сделай вывод, как найти число, если известна его доля? А если известна его доля?

Нахождение числа по доле

2. Найди весь пройденный путь, если 400 м составляют:

а) половину этого пути; б) пути; в) пути; г) 1% пути.

3. Дорисуй схему и ответь на вопрос задачи:

а) Сколько стоит книга, если часть ее цены составляет 14 руб.?

б) Сколько человек было в кинотеатре, если 1% всех зрителей составляет 7 человек?

4. Найди массу яблок, если известно, что:

а) этой массы составляет 8 кг;       в) массы составляет 15 кг;

б) 1% массы составляет 2 кг;       г) 1% массы составляет 400 г.

5. Мотоциклист за день проехал некоторое расстояние. 1% пути он ехал по проселочной дороге, что составило 3 км. Остальную часть пути он ехал по шоссе. Сколько километров ехал мотоциклист по шоссе?

6. Единица разделена на 24 равные части. Сколько таких частей содержит доля? Отметь эти числа на числовом луче.

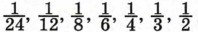
7. Расположи доли в порядке возрастания:

8. Прочитай неравенство и найди множество его натуральных решений:

9. Составь программу действий и вычисли:

а) (492 345 - 264 174) : 57 + 26 • 693 - 88 592 : 98;

б) 307 • (30 405 - 29 596) + 765 000 : (317 + 533) - 226 896 : 87.

10*. На одной планете живут 40 колиордов. 12 из них вечером пьют чай, 28 — смотрят телевизор, а 5 не делают ни того ни другого, так как рано ложатся спать. Сколько колиордов пьют по вечерам чай, смотря телевизор?

 

 

???????@Mail.ru