Главная >> Математика 4 класс. Петерсон

Часть 1. Урок 28

Сравнение дробей

1. а) Отметь на числовом луче дроби

б) Сравни: Сделай вывод.

Сравнение дробей

2. Расшифруй названия театральных представлений, сопоставив дроби соответствующим буквам и расположив их: а) в порядке возрастания:

Как записывают части величин, выраженные дробями со знаменателем 100?

3. а) Единичный отрезок разделен на 12 равных частей. Сколько таких частей содержат Отметь на числовом луче дроби Как изменится дробь, если ее знаменатель уменьшится?

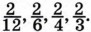
б) Сравни: Сделай вывод.

4. Расшифруй имена богинь-покровительниц комедии и трагедии в греческой мифологии, сопоставив дроби соответствующим буквам и расположив их:

5. Сравни дроби:

6. а) Отметь на числовом луче дроби Что ты замечаешь? Почему эти дроби называют равными?

б) Отметь на числовом луче дроби Найди среди них равные дроби. Придумай свои примеры равных дробей и сделай записи.

Окончание >>>

 

 

???????@Mail.ru