Главная >> Математика 4 класс. Петерсон

Часть 1

Нахождение числа по его части. Урок 31. Математика 4 класс

9. В куске было 96 м ткани. Для детского сада взяли этого куска, а для детских яслей — куска. Сколько материи еще осталось в куске?

10. Сравни:

11. Найди множество натуральных решений неравенств:

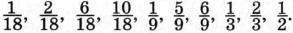
12. Подбери удобный единичный отрезок и отметь на числовом луче дроби Найди среди этих дробей равные дроби. Приведи свои примеры равных дробей.

13. Одна сторона четырехугольника равна 48 см, вторая сторона на 14 см больше, чем первая, а третья сторона в 2 раза меньше суммы первых двух сторон. Найди четвертую сторону, если периметр четырехугольника равен 200 м.

14. Найди периметр и площадь земельных участков по указанным размерам:

15. а) Вычисли с помощью палетки, изображенной на рисунке, примерную площадь четырехугольника ABCD, выраженную в см2, если в 1 см2 содержится 4 клетки.

б) Вырежь из клетчатой бумаги четырехугольник, равный четырехугольнику ABCD, и разрежь его на 4 равные части по диагоналям АС и BD. Сложи из полученных частей прямоугольник. Чему равна его площадь?

16. а) 608 • (3076 + 5081) - 2 111 022 : (5960 - 5646);

б) 2 045 639 : (6700 - 6279) + 783 • (66 161 - 65 752).

<<< К началу

 

 

???????@Mail.ru