Главная >> ГДЗ к учебнику Виленкина. Математика 5 класс

§ 3. Умножение и деление натуральных чисел

Деление. Домашние работы (окончание)

497. Это числа 1, 2, 3; 1 + 2 + 3 = 1 • 2 • 3 = 6.

498. Пусть во дворе х петухов, тогда кур 10х, а уток 21 - (х + 10х) = 21 - 11x. Так как число уток больше 0 больше, то х = 1, поэтому во дворе 21 = 11 • 1 = 10 уток.

499. а) (а + b) • 3 = (а + b) + (а + b) + (а + b); б) (2а - m) • 5 = (2а - m) + (2а - m) + (2а - m) + (2а - m) + (2а - m); в) (5x + 2у) • 6 = (5x + 2у) + (5х42у) + (5x + 2у) + (5x + 2 у) + (5x + 2 у) + (5x + 2 у).

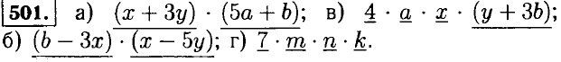
500. а) 7х • (3а + 11); б) (2m + 5n) • (3а - 12b).

503. Всего было погружено 70 • m • n цветных карандашей. а) при m = 15, n = 6 ⇒ 70m = 70 • 15 • 6 = 70 • 90 = 6300 карандашей; б) при m = 12, n = 24 ⇒ 70mn = 70 • 12 • 24 = 840 • 24 = 20 160 карандашей.

504. a) (x + 155) - 35 = 145 ⇒ x + 120 = 145 ⇒ x = = 145 - 120 = 25; 6) 168 - (98 + z) = 65 ⇒ 70 - z = 65 ⇒ z = 70 - 65 = 5; в) (853 + у) - 53 = 900 ⇒ 800 + у = 900 ⇒ у = 900 - 800 = 100; г) (s + 275) - 275 = 384 ⇒ s = 384.

505. 1) (х + 408) - 312 = 501 ⇒ х = 501 - 96 = 405;
2) 700 - (45 + у) = 398 ⇒ у = 655 - 398 = 257;
3) 650 - (145 - m) = 533 ⇒ m = 533 - 505 = 28;
4) (800 - n) - 661 = 89 ⇒ n = 139 - 89 = 50.

506. Масса кита = масса слона +24 т 700 кг = 5 т 800 кг + 24 т 700 кг = 30 т 500 кг.

507. За два месяца на заводе выпустили 2120 + (2120 + 250) = 2120 + 2120 + 250 = 4240 + 250 = 4490 велосипедов.

508. РΔ = АВ + ВС + АС = АВ + АС + ВС = 28 + (28 - 9) + 2 • (28 - 9) = 28 + 19 + 2 • 19 = 28 + 19 + 38 = 85 мм = 8 см 5 мм.

509. 6 мин 40 с = 400 с. Андрей пробежал 4 • 400 = 1600 м, со скоростью 1600 : 400 = 4 м/с. Николай пробежал 5 • 400 = 2000 м, со скоростью 2000 : 400 = 5 м/с. Таким образом скорость Николая больше скорости Андрея на 5 - 4 = 1 м/с.

510. Борис может доехать 3 • 3 = 9 способами.

511. Вертолёт пролетел 1200 • 16 + 1500 • 34 = 19200 + 51000 = 70 200 м = 70 км 200 м.

512. 1) АВ + ВС + CD = 12 + х + 12 = 35 ⇒ х = 11 см.
2) АВ + ВС + CD = 23 + х + 23 = 7 ⇒ х = 26 см.

513. 1) 203 • 26 - (3292 + 2579) : 57 = 5278 - 5871 : 57 = 5278 - 103 = 5175;
2) 2072 : 37 + (262 - 2419) • 27 = 56 + 207 • 27 = 56 + 5589 = 5645.

514. Скорость поезда 648 : 12 = 54 км/ч.

515. 1 ч 12 мин = 72 мин. Один сеанс длится 72 : б = 12 мин.

516. Второй завод выпускает 132 - 88 = 44 наименования, значит первый завод выпускает в 132 : 44 = 3 раза больше наименований изделий.

518. а) 9 • (а + 11); б) 114 : (m - n); в) (8 + с) : (76d - 4).

519. За один час первый экскаватор вынимает 555 : 3 = 185 м3 земли, второй экскаватор за час вынимает 185 + 15 = 200 м3, значит за 4 часа он вынимает 200 • 4 = 800 м3.

520. Бригады работали 1320 : (20 + 35) = 1320 : 55 = 24 дня, значит первая бригада заготовила 24 • 20 = 480 т силоса, а вторая бригада заготовила 35 • 24 = 840 т.

521. Всего рабочие затратили 3 • 7 + 2 • 8 = 21 + 16 = 37 часов, значит за один час один рабочий изготавливал 481 : 37 = 13 деталей. Первый рабочий изготовил 3 • 7 • 13 = 21 • 13 = 273 детали, а второй 2 • 8 • 13 = 208 деталей.

522. Периметр треугольника в миллиметрах РΔ = АВ + ВС + CD = х + 170 + х = 620 ⇒ 2х + 170 = 620 ⇒ 2х - 450 ⇒ х = 225 мм = 22 см 5 мм.

523. При k = 5719, k : 19 - 95 = 5719 : 19 - 95 = 301 - 95 = 206, значит k — корень уравнения.

524. а) 37х = 259 ⇒ х = 259 : 37 = 7; б) 252 : у = 21 ⇒ у = 252 : 21 = 12; в) z : 18 = 6 ⇒ z = 6 • 18 = 108; г) (38 + b) • 12 = 840 ⇒ 38 + b = 840 : 12 = 70 ⇒ b = 70 - 38 = 32; д) 14 • (р - 30) = 630 ⇒ р - 30 = 630 : 14 = 45 ⇒ р = 45 + 30 = 75; е) (43 - s) • 17 = 289 ⇒ 43 - s = 289 : 17 = 17 ⇒ s = 43 - 17 = 26.

525. 4х + 2 + 1 = 5 + 5 + 5 ⇒ 4х + 3 - 15 ⇒ 4х = 15 - 3 = 12 ⇒ х = 12 : 3 = 4 кг.

526. Выполните упражнение самостоятельно.

528. Выполните задание самостоятельно.

<<< К началу

 

 

???????@Mail.ru