Главная >> Домашние работы к учебнику Виленкина. Математика 5 класс

§ 5. Обыкновенные дроби

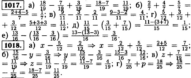
Сложение и вычитание дробей с одинаковымизнаменателями. Домашние работы

1024. При делении получается, что 260 = 30 • 9 - 10, то нужно заказать не менее 9 автобусов.

<<< К началу   Решенния (окончание) >>>

 

 

???????@Mail.ru