Главная >> Математика 5 класс. Виленкин

§ 5. Обыкновенные дроби

27. Деление и дроби

Разделим 2 одинаковых яблока между тремя детьми. Число 2 не делится нацело на 3. Поэтому разделим каждое яблоко на 3 равные части и дадим каждому ребёнку по одной части от каждого яблока.

Каждая часть — это яблока, а две такие части — это яблока. Значит, каждый ребёнок получит яблока.

Дробь получилась при делении 2 яблок на 3 равные части. Поэтому черту дроби можно понимать как знак деления:

С помощью дробей можно записать результат деления двух любых натуральных чисел.
Если деление выполняется нацело, то частное является натуральным числом.
Если же разделить нацело нельзя, то частное является дробным числом.

Например,

Запишем число 3 в виде дроби со знаменателем 5. Для этого надо найти такое число, при делении которого на 5 получилось бы 3. Таким числом является 3 • 5, то есть 15. Значит,

Любое натуральное число можно записать в виде дроби с любым натуральным знаменателем.
Числитель этой дроби равен произведению числа и этого знаменателя.

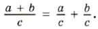
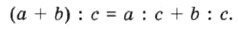
Мы знаем, что По-другому это равенство можно записать так:

Чтобы разделить сумму на число, можно разделить на это число каждое слагаемое и сложить полученные частные.

Например:

9603 : 3 = (9000 + 600 + 3) : 3 = 9000 : 3 + 600 : 3 + 3 : 3 = 3000 + 200 + 1 = 3201.

1051. Запишите в виде дроби частные:

2:5;    1 : 10;    15 : 8;    7:1;    20 : 4;    77 : 10.

1052. Запишите каждую из дробей в виде частного и найдите его значение.

1053. Заполните пустые клетки таблицы:

1054. За неделю израсходовано 3 кг сахара. Сколько килограммов сахара в среднем расходовали за один день?

Продолжение >>>

 

 

???????@Mail.ru