Главная >> Домашние работы к учебнику Виленкина. Математика 5 класс

§ 5. Обыкновенные дроби

Смешанные числа. Домашние работы (окончание)

1105. Пусть во вторую банку вошло х г крупы, тогда в первую банку вошло 3х г крупы. Всего в три банки насыпали (3х + х + 500) г крупы. Составим и решим уравнение: 3х + х + 500 = 2100 ⇒ 4х = 2100 - 500 ⇒ х = 1600 : 4 = 400 г насыпали во вторую банку, а в первую банку насыпали 3 • 400 = 1200 г крупы.

1106. Первый автобус ехал 312 : 52 = 6 ч, а второй (480 - 312) : 42 = 168 : 4 ч, следовательно первый автобус вышел раньше второго на 6 - 4 = 2 ч.

1107. 1) (321x - 5295) : 57 = 389 (327х - 5295) = 389 • 57 = 22173 ⇒ 327х = 22 173 + 5295 = 27468 ⇒ х = 27468 : 327 = 84;
2) (27х + 11) • 315 = 11970 ⇒ 27х + 11 = 11970 : 315 = 38 ⇒ 27х = 38 - 11 = 27 ⇒ х = 1.

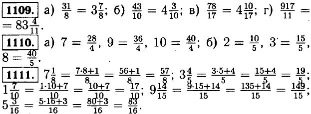
1108. 1) 10351 - (12617 : 31 + 208 • 43) = 10351 - (407 + 8944) = 10351 - 9351 = 1000;
2) 35 • 309 + 11638 : 23 - 9321 = 10 815 + 506 - 9321 = 11321 - 9321 = 2000.

1112. Пусть во второй канистре было х л бензина, тогда в первой канистре было 5х л. Составим и реши уравнение: х + 5х + 7 = 55 ⇒ 6х = 55 - 7 = 48 ⇒ х = 48 : 6 = 8 л было во второй канистре, а в первой было 5х = 5 • 8 = 40 л.

1113. Через 2 ч вертолёт будет в 210 • 2 = 420 км от аэродрома. Скорость самолёта будет равна: (840 + 420 + 3 • 210) : 3 = (840 + 420 + 630) : 3 = 1890 : 3 = 630 км/ч.

1114. 883336 : 218 + 2967 • 305 = 4052 + 904935 = 908987

<<< К началу

 

 

???????@Mail.ru