Главная >> Математика 5 класс. Виленкин

§ 5. Обыкновенные дроби

28. Смешанные числа

Разделить поровну 5 одинаковых апельсинов между тремя детьми можно двумя способами.

Во-первых, можно разделить между ними поровну каждый апельсин (рис. 131, а). Тогда один ребёнок получит по 5 частей, а каждая из этих частей равна целого апельсина (рис. 131, б). Поэтому каждый ребёнок получит апельсина.

Во-вторых, можно сначала дать каждому из детей по целому апельсину, а оставшиеся 2 апельсина разделить между ними поровну (рис. 132, а). Тогда каждый из детей получит апельсина (рис. 132, б).

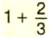
Сумму принято записывать короче: Запись читают так: «Одна целая две третьих».
Число 1 называют целой частью числа , а число — его дробной частью.

Так как в обоих случаях каждый ребёнок получает одно и то же количество апельсинов, то числа равны:

Чтобы перейти от записи к записи , надо разделить 5 на 3. Получим неполное частное 1 и остаток 2. Число 1 даёт целую часть, а остаток 2 — числитель дробной части.

Чтобы из неправильной дроби выделить целую часть, надо:
1) разделить с остатком числитель на знаменатель;
2) неполное частное будет целой частью',
3) остаток (если он есть) даёт числитель, а делитель — знаменатель дробной части.

Пример 1. Выделим целую часть из неправильной дроби

Р е ш е н и е. Делим 47 на 9. Неполное частное равно 5, а остаток равен 2. Значит,

Запись числа, содержащую целую и дробную части, называют смешанной. Для краткости вместо «число в смешанной записи» говорят смешанное число. Смешанное число можно представить и в виде неправильной дроби.

Пример 2. Представим в виде неправильной дроби число

Р е ш е н и е. Мы знаем, что Но 5 можно записать в виде дроби со знаменателем 9, а именно: Значит,

Чтобы представить смешанное число в виде неправильной дроби,
нужно:
1) умножить его целую часть на знаменатель дробной части;
2) к полученному произведению прибавить числитель дробной части;
3) записать полученную сумму числителем дроби, а знаменатель дробной части оставить без изменения.

Продолжение >>>

 

 

???????@Mail.ru