Главная >> Математика 5 класс. Виленкин

§ 5. Обыкновенные дроби

29. Сложение и вычитание смешанных чисел (продолжение)

1115. В одной коробке кг конфет, а в другой коробке кг. Сколько килограммов конфет в этих двух коробках?

1116. Чему равна длина белой ленты, если длина красной ленты м, а белая лента на короче красной?

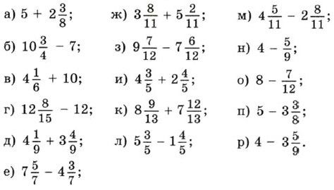
1117. Выполните действия:

1118. Найдите значение выражения:

1119. На базу привезли яблоки на двух грузовиках. На первом было т яблок, а на втором — на т меньше. Сколько тонн яблок привезли на базу? Выразите ответы в центнерах.

1120. Два шахматиста сыграли две партии: первая партия продолжалась ч, а вторая — на ч больше. Сколько часов продолжалась игра? Выразите продолжительность игры в минутах.

1121. Вычислите устно:

1122. Восстановите цепочку вычислений:

1123. Каковы координаты точек, отмеченных на рисунке 136? Чему равно расстояние (в единичных отрезках) между точками: О и Е, О и К, О и С, D и С, А и E, М и E? Сравните координаты точек С и О, С и E, М и K, N и A и В.

1124. Между какими натуральными числами на координатном луче расположены смешанные числа:

1125. При каких значениях а частное 12 : а будет:

    а) натуральным числом;
    б) неправильной дробью;
    в) правильной дробью?

Ответьте на те же вопросы для частного а : 6.

1126. Составьте задачу по уравнению:

1127. По рисунку 137 составьте уравнение и решите его.

1128. В старинных книгах можно встретить такие названия дробей: — пол, полти́на, — пяти́на, — седьми́на, — десяти́на.

Подумайте, как появились следующие названия: — четь, — полче́ти, — полполче́ти, — полполполче́ти (малая четь). Дробь называли «треть». Попробуйте догадаться, как называли дроби

Подумайте, почему смешанные числа называли: — полвто́ра, — полтре́тья, — полче́тверта, — полпя́ты, — полше́сты и т. д.

Сохранился ли такой способ чтения в наше время?

<<< К началу      Окончание >>>

 

 

???????@Mail.ru