Главная >> Математика 5 класс. Виленкин

§ 6. Десятичные дроби. Сложение и вычитание десятичных дробей

30. Десятичная запись дробных чисел (окончание)

1162. На рисунке 140 показан план квартала города. Ширина каждого дома 25 м, длина 50 м, ширина дорог 25 м. Расскажите, как ближайшим путём пройти от точки А до входа в школу; на почту; в ателье; в дом № 9. Как бы вы объяснили дорогу от дома № 5 до дома № 11; до дома № 6?

1163. Длина прямоугольного параллелепипеда 14 см, ширина 8 см и высота 7 см. Найдите высоту другого прямоугольного параллелепипеда, если его длина 28 см, ширина 7 см, а объём равен объёму первого параллелепипеда.

1164. Решите задачу:

1) Масса арбуза и трёх одинаковых дынь 10 кг. Дыня в 2 раза легче арбуза. Какова масса арбуза?

2) Масса тыквы и трёх одинаковых кабачков 20 кг. Тыква в 2 раза тяжелее кабачка. Какова масса тыквы?

3) За три прыжка кенгуру преодолел расстояние 20 м 70 см. Первые два прыжка оказались одинаковыми, а третий — на 1 м 20 см длиннее. Какова длина второго прыжка кенгуру?

4) Расстояние до норы в 6 м заяц преодолел в четыре прыжка. Первые три прыжка оказались одинаковыми, а последний на 40 см короче остальных. Найдите длину второго прыжка зайца.

1165. Решите уравнение:

1166. Запишите в виде десятичной дроби числа:

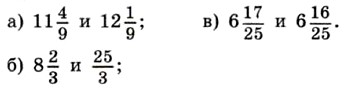
1167. Сравните:

1168. Выразите:

а) в километрах: 8 км 907 м; 35 м; 250 м; 1 м;
б) в центнерах и килограммах: 4,2 ц; 7,33 ц; 0,24 ц; 0,05 ц.

1169. Из двух пунктов, расстояние между которыми 7 км 500 м, одновременно в одном направлении вышел пешеход со скоростью 6 км/ч и выехал автобус. Определите скорость автобуса, если он догнал пешехода через 15 мин.

1170. С трёх лугов собрали 197 ц сена. С первого и второго лугов собрали поровну, а с третьего — на 11 ц больше, чем с первого. Сколько сена собрали с каждого луга?

1171. Выполните действия:

а) ((22 962 : 534 + 9936 : 48) : 25 + 37) • 43;
б) 38 • 203 + 75 • (514 - 476) + (15 + 23) • 22.

<<< К началу      Решенния >>>

 

 

???????@Mail.ru