Главная >> ГДЗ к учебнику Виленкина. Математика 5 класс

§ 6. Десятичные дроби. Сложение и вычитание десятичных дробей

Десятичная запись дробных чисел (окончание)

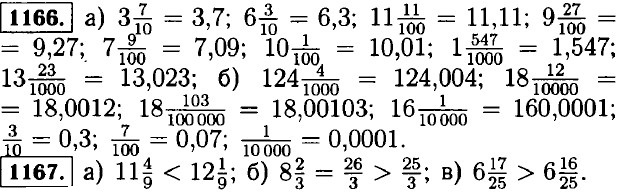
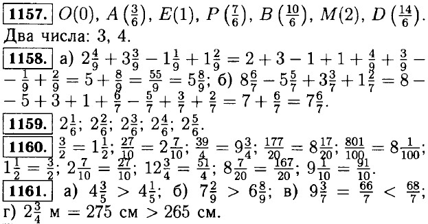
1162. Выполните задание самостоятельно.

1163. Объем первого параллелепипеда равен М = 14 • 8 • 7 = 112 • 7 = 784 см3. Высота параллелепипеда, объём которого равен объёму первого, равна 784 : (28 - 7) = 784 : 196 = 4 см.

1164. 1) Пусть х — масса дыни, тогда масса арбуза 2х кг. Масса арбуза и трёх одинаковых дынь равна (3х + 2х) кг. Составим и решим уравнение: 3х + 2х = 10 ⇒ 5х = 10 ⇒ х = 10 : 5 = 2 кг — масса дыни равна, а масса арбуза 2х = 2 • 2 = 4 кг.
2) Пусть у — масса кабачка, тогда масса тыквы 2у кг. Масса тыквы и трёх одинаковых кабачков равна (3у + 2у) кг. Составим и решим уравнение: 3у + 2у = 20 ⇒ 5у = 20 ⇒ у = 20 : 5 = 4 кг — масса кабачка, а масса тыквы 2у = 2 • 4 = 8 кг.
3) Пусть длина первого прыжка равна z см, длина второго z, а длина третьего прыжка (z + 120) см. Сумма длин всех прыжков кенгуру равна (2z + z + 120) см. Составим и решим уравнение: z + z+(z + 120) = 2070 ⇒ 3z = 1950 ⇒ z = 1950 : 3 = 650 см.
4) Пусть длина каждого из первых трех прыжков равна х см, тогда длина четвёртого прыжка будет (х - 40) см. Сумма длин четырёх прыжков (Зх + х — — 40) см. Составим и решим уравнение: 3х + х - 40 = 600 ⇒ 4х - 600 + 40 = 640 ⇒ х = 640 : 4 = 160 см.

1165. 1) х : 16 = 4759 + 1441 = 6200 ⇒ х = 6200 • 16 = 99200.
2) у : 27 = 2467 - 1867 = 600 ⇒ у = 600 • 27 ⇒ у = 16200.
3) 13600 : z = 3876 - 3851 = 13600 ⇒ z = 13600 : 25 = 544.
4) (2865 + k) - 125 = 542 875 ⇒ 2865 + k = 542875 : 125 = 4343 ⇒ k = 4343 - 2865 = 1478.

1168. а) 8 км 907 м = 8,907 км; 35 м = 0,035 км; 250 м = 0,250 км; 1 м = 0,001 км; б) 4,2 ц = 4 ц 20 кг; 7,33 ц = 7 ц 33 кг; 0,24 ц = 24 кг; 0,05 ц = 5 кг.

1169. 6 км/ч = 6 • 1000 : 60 = 100 м/мин. Скорость автобуса равна (7500 + 100 • 15) : 15 = 7500 : 15 + 100 = 500 + 100 = 600 м/мин = 36 км/ч.

1170. Пусть с первого и второго лугов собрали х ц сена, тогда с третьего луга собрали (х + 11) ц сена. Всего с трёх лугов собрали (2х + х + 11) ц сена. Составим и решим уравнение: 2х + х + 11 = 197 ⇒ 3х = 197 - 11 = 186 ⇒ х = 186 : 3 = 62 ц. С третьего луга собрали 62 + 11 = 73 ц сена.

1171. а) ((22 962 : 534 + 9936 : 48) : 25 + 37)43 = ((43 + 207) : 25 + 37)43 = (10 + 37)43 = 2021;
б) 38 - 203 + 75 • (514 - 476) + (15 + 23) - 22 = 7714 + 75 - 38 + 38 - 22 = 7714 + 2850 + 836 = 11400.

<<< К началу

 

 

???????@Mail.ru