Главная >> Домашние работы к учебнику Виленкина. Математика 5 класс

§ 6. Десятичные дроби. Сложение и вычитание десятичных дробей

Сравнение десятичных дробей. Домашние работы

1172. а) 0,87 = 0,8700; в) 35 = 35,000; б) 0,54 = 0,54100; г) 8,40000 = 8,40 =.

1173. 1,800; 13,540; 0,789.

1174. 2,5000 = 2,5; 3,02000 = 3,02; 20,010 = 20,01.

1175. 85,09 > 67,99; 55,7 = 55,7000; 0,5 < 0,724; 0,908 < 0,918; 7,6431 > 7,6429; 0,0025 > 0,00247.

1176. 0,453 < 3,456 < 3,465 < 8,079 < 8,149; 0,08 > 0,037 > 0,0091 > 0,0082 > 0,0044.

1178. а) А( 1,2) левее В( 1,7); б) С(0,31) левее D(0,35); в) К(3,25) левее E(3,3).

1179. а) A(2,8) правее B(2,4); б) D(0,49) правее С(0,45); в) K(7,9) правее E(7,85).

1180. 21 > 18,75; 8,006 < 9,0001; 7,2 < 7,2005; 4,09 > 3,999.

1181. а) 2,*1 > 2,01 ⇒ * > 0; б) 1,34 < 1,3* ⇒ * > 4.

1182. а) 2 < 2,7 < 3; б) 12 < 12,21 < 13; в) 3 < 3,343 < 4; г) 9 < 9,111 < 10.

1183. а) 1,41 < 1,43 < 4,75; б) 0,1 < 0,15 < 0,2; в) 2,7 < 2,75 < 2,8; г) 2,99 < 2,999 < 3; д) 7 < 7,005 < 7,01; е) 0,12 < 0,125 < 0,13.

1184. а) 98,52 м > 65,39 м; б) 149,63 кг < 150,08 кг; в) 3,55°С < 3,61°С; г) 6,781 ч > 6,718 ч; д) 0,605 т = 605 кг < 691,3 кг; е) 4,572 км = 4572 м < 4671,3 м; ж) 3,835 га = 383,5 а < 383,7 а; з) 7,521 л = 7521 см3 < 7538 см3.
Нельзя сравнивать величины, выражающие различные физические величины, например кг и м, 0 и м, скорость и время.

1185. а) 81, 3, 96, 110, 11, 0; б) 125, 1000, 50, 1, 80, 16; в) 20 мин, 5 мин, 3 с, 10 с; г) 30 а, 45 а, 9 м2, 0.

1187. а) две; в) одна; б) четыре; г) шесть.

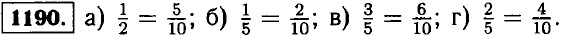
1189. 20 • 10 = 200, 15 • 10 = 150, 3 • 10 = 30, 1 • 10 = 10.

1191. Развёртки — в) и г).

1192. а) 3,236 т = 3 т 236 кг; г) 7,001 т = 7 т 1 кг;
б) 11,800 т = 11 т 800 кг; д) 8,009 т = 8 т 9 кг;
в) 0,006 т = 6 кг; е) 10,001 т = 10 т 1 кг.

1193. а) 8984000 = 8,984 млн.; 91,78 млрд = 91780 млн.; б) 1306 = 1,306 тыс.; 8,065 млн. = 8065 тыс.; 17,8 млрд. = 17800000 тыс.

<<< К началу   Решенния (окончание) >>>

 

 

???????@Mail.ru