Главная >> ГДЗ к учебнику Виленкина. Математика 5 класс

§ 6. Десятичные дроби. Сложение и вычитание десятичных дробей

Сложение и вычитание десятичных дробей. Домашние работы (окончание)

1238. a) z + 3,8 = 8 ⇒ z = 8 - 3,8 = 4,2;
б) у - 6,5 = 12 ⇒ у = 12 + 6,5 = 18,5;
в) 13,5 - х = 1,8 ⇒ х = 13,5 - 1,8 = 11,7;
г) 15,4 + k = 15,4 k = 15,4 - 15,4 = 0;
д) 2,8 + l + 3,7 = 12,5 ⇒ l = 12,5 - 6,5 = 6;
е) (5,6 - r) + 3,8 = 4,4 ⇒ r = 5,6 - 0,6 = 5.

1239. а) 24, 72, 18, 45, 15; б) 80, 16, 23, 69, 100; в) 3, 45, 5, 60, 300; г) 90, 51, 3, 54, 100; д) 75, 5, 100, 66, 6.

1241. а) 0,1 < 0,15 < 0,2; б) 0,02 < 0,025 < 0,3; в) 0 < 0,0005 < 0,001.

1244. 30 : 3 10 = 10 • 10 = 100, 15 : 3 • 10 = 5 • 10 = 50, 6 : 3 • 10 = 2 • 10 = 20.

1246.Половина арбуза стоит 20 сольдо, поэтому арбуз стоит 20 • 2 = 40 сольдо.

1247. а) 12,567 < 12,67; б) 7,399 < 7,4.

1248. а) 5 < 5,1 < 6; б) 6 < 6,32 < 7; в) 9 < 9,999 < 10; г) 25 < 25,257 < 26.

1249. 0,9078 < 0,915 < 2,31 < 2,314 < 2,316 < 10,45.

1250. 8,09 км = 8090 м, 8154257 мм = 8154,257 м, 815 376 см = 8153,76 м; 8090 м = 8,09 км < 8153,76 м = 815 376 см < 8154,257 м = 8 154 257 мм.

1252. а) 17 м 8 см = 17,08 м; 8 м 17 см = 8,17 м; 4 см = 0,04 м; 15 дм = 1,5 м; б) 3 т 8 ц 67 кг = 3,867 т; 1244 кг = 1,244 т; 710 кг = 0,71 т.

1253. 1) Пусть масса мешка с крупой х кг, тогда масса мешка с мукой 2х кг. Всего на машину погрузили (7 • 2х + 12х) кг. Составим и решим уравнение: 7 - 2х + 12х = 780 ⇒ 24х = 780 ⇒ х = 780 : 26 = 30 кг — масса мешка с крупой равна, а масса мешка с мукой равна 2 • 30 = 6 кг.
2) Пусть у — масса индюка, тогда масса овцы 3у кг. Разница в массе 3 овец и 5 индюков равна (3 • 3у - 5у) кг. Составим и решим уравнение: 3 • 3у - 5у = 60 ⇒ 4у = 60 ⇒ у = 60 : 4 - 15 кг — масса индюка, а масса овцы 3 • 15 = 45 кг.

1254. 1. Гектар. 2. Разряд. 3. Длина. 4. Акр. 5. Разложение. 6. Единица. 7. Ар. 8. Радиус. 9. Сорок. 10. Карат. 11. Тонна. 12. Аршин. 13. Неделя. 14. Ярд. 15. Делимое.

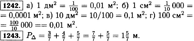
1257. Длина второй стороны треугольника равна 83,6 + 14,8 = 98,4 см. Длина третьей стороны — 98,4 + 8,6 = 107 см. Периметр треугольника равен РΔ = 83,6 + 98,4 + 107 = 289 см = 2 м 89 см.

1258. Длина второй части трубы 9,35 - 2,89 = 6,46 м, что на 6,46 - 2,89 = 3,57 м больше, чем длина первой части.

1259. Масса оболочки шара равна 0,24 + 0,32 = 0,56 т. Масса газовой горелки 0,24 - 0,15 = 0,09 т. Общая масса шара 0,24 + 0,56 + 0,09 = 0,89 т.

1260. Во второй час автомашина прошла 48,3 - 15,8 = 32,5 км. В третий час (48,3 + 32,5) - 24,3 = 80,8 - 24,3 - 56,5 км. За три часа автомашина прошла 48,3 + 32,5 + 56,5 = 80,8 + 56,5 = 137,3 км.

1261. Скорость теплохода по течению 40,5 + 5,8 = 46,3 км/ч, а скорость против течения 40,5 - 5,8 = 34,7 км/ч.

1262. Собственная скорость катера равна 23,7 - 3,8 = 19,9 км/ч, а скорость катера против течения 19,9 - 3,8 = 16,1 км/ч.

1263. а) 73,12 - (5,34 + 13,12) = (73,12 - 13,12) - 5,34 = 60 - 5,34 = 54,66; б) 101,3 + (84,7 + 1,11) = (101,3 + 84,7) + 1,11 = 186 + 1,11 = 187,11; в) (47,28 - 34,98) + (55,02 + 34,98) = (47,28 + 55,02) + (34,98 - 34,98) = 102,3. г) (46,83 + 15,77) - (6,83 - 5,77) = (46,83 - 6,83) + (15,77 + 5,77) = 40 + 21,54 = 61,54.

1264. 41,87 = 40 + 1 + 0,8 + 0,07; 0,6098 = 0,6 + 0,009 + 0,0008; 13,5401 = 10 + 3 + 0,5 + 0,04 + 0,0001.

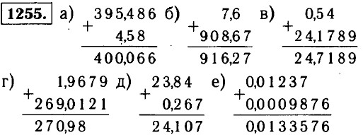
1265. а) 21,28; б) 0,035.

1266. 8,906 м = 89,06 дм = 890,6 см = 8906 мм.

1268. а) (х - 18,2) + 3,8 = 15,6 ⇒ х - 18,2 = 15,6 - 3,8 ⇒ х = 11,8 + 18,2 = 30; б) 34,2 - (17,9 - у) = 22 17,9 - у = 34,2 - 22 ⇒ у = 17,9 - 12,2 = 5,7. в) 16,5 - (t + 3,4) = 4,9 ⇒ t + 3,4 = 16,5 - 4,9 ⇒ t = 11,6 - 3,4 = 8,2. г) г + 16,23 - 15,8 = 7,1 ⇒ r + 0,53 = 7,1 ⇒ r = 7,1 - 0,53 = 6,57.

1269. а) Пусть х — объём меньшей части параллелепипеда, тогда 6х — объем большей части. Сумма этих объёмов равна (х + 6х) см3. Составим и решим уравнение: х + 6х = 84 ⇒ х = 84 : 7 = 12 см3 — объём меньшей части, а объем большей части 6-12 = 72 см3,
б) Пусть у — объём одной части, тогда (у + 40) — объём другой. Сумма этих объёмов равна (у + у + 40) см3. Составим и решим уравнение: у + (у + 40) = 84 ⇒ 2у = 84 - 40 = 44 ⇒ у = 44 : 2 = 22 см3 — объём одной части, а объем другой части 22 + 40 = 62 см3.

<<< К началу

 

 

???????@Mail.ru