Главная >> Домашние работы к учебнику Виленкина. Математика 5 класс

§ 7. Умножение и деление десятичных дробей

Умножение десятичных дробей. Домашние работы (окончание)

1412. Расстояние между пешеходами в начале движения было равно (4,2 + 5,2) • 2,5 = 9,4 • 2,5 = 23,5 км.

1413. а) 0,32 = 0,3 • 0,3 = 0,09; 0,33 = 0,3 • 0,3 • 0,3 = 0,09 • 0,3 = 0,027; 0,12 = 0,1 • 0,1 = 0,01; 0,13 = 0,1 0,1 • 0,1 = 0,01 • 0,1 = 0,001; 0,23 = 0,2 • 0,2 • 0,2 = 0,04 • 0,2 = 0,008; 0,22 = 0,2 • 0,2 = 0,04;
б) 0,42 + 0,52 = 0,4 • 0,4 + 0,5 • 0,5 = 0,16 + 0,25 = 0,41; 0,62 - 0,2 = 0,6 • 0,6 - 0,2 = 0,36 - 0,2 = 0,16; 2,32 - 3,19 = 2,3 • 2,3 - 3,19 = 5,29 - 3,19 = 2,1; 1,83 + 2,68 = 1,8 • 1,8 • 1,8 + 2,68 = 5,832 + 2,68 = 8,512.

1414. а) 0,3 • 3 = 0,9; 0,7 • 5 = 3,5; 0,06 • 4 = 0,24; 8 • 0,04 = 0,32; 0,55 • 0 = 0; б) 0,26 - 0,02 = 0,24; 0,34 + 0,6 = 0,94; 1 - 0,8 = 0,2; 0,74 + 0,26 = 1; 3 - 0,44 = 2,56; в) 0,125 • 8 = 1; 0,04 • 5 = 0,2; 0,25 • 4 = 1; 1,5 • 6 = 9; 0,18 • 5 = 0,9; г) 2,7 • 10 = 27; 0,1 • 3 = 0,3; 0,691 • 100 = 69,1; 15 • 0,01 = 0,15; 3,8 • 1000 = 3800.

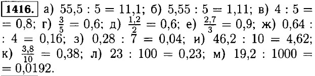
1415. 90 • 0,8 = 72; 40 • 0,2 = 8; 20 • 1,3 = 26; 180 • 0,5 = 90.

1417. a) S = 3,5 • 4 = 14 cм2; 6) S = 1,8 • 5 = 9 дм2; в) S = 8 • 1,25 = 10 м2.

1418. a) 5; 6) 6; 7; 8; 9; в) 0; 1; 2.

1419. При приписывании нуля справа к натуральному числу его значение увеличивается на 10, так как числа смещаются по разрядам в сторону увеличения, а при том же самом действии с десятичной дробью числа не смещаются по разрядам.

1420. а) 42,6 : 10 = 4,26; 3,85 : 10 = 0,385; 7 : 10 = 0,7; б) 586,1 : 100 = 5,861; 80,3 : 100 = 0,803; 90 : 100 = 0,9.

1422. Пчела собирает с одного цветка 100 : 1000 000 = 0,0001 г меда.

1423. Катер проделал путь (14,8 + 2,3) • 3 + (14,8 - 2,3) • 4 = 17,1 • 3 + 12,5 • 4 = 51,3 + 50 = 101,3 км.

1424. Выполните задание самостоятельно.

1425. Скорость сближения теплоходов равна (24,5 + 2,5) + (28,5 - 2,5) = 24,5 + 28,5 = 53 км/ч. Они встретятся через 185,5 : 53 = 3,5 ч.

1426. Пусть х — скорость течения, тогда собственная скорость лодки, с одной стороны, равна (12,6 - х) км/ч, а с другой стороны, (8,8 + х) км/ч. Составим и решим уравнение: 12,6 - х = 8,8 + х ⇒ х = (12,6 - 8,8) : 2 = 1,9 км/ч.

1427. Скорость сближения лодок равна (12,5 + 2,5) + (12,5 - 2,5) = 12,5 + 12,5 + (2,5 - 2,5) = 25 км/ч. Лодки встретятся через 80 : 25 = 3,2 ч.
При скорости течения 3 км/ч скорость сближения лодок (12,5 + 3) + (12,5 - 3) = 12,5 + 12,5 + (3 - 3) = 25 км/ч. Следовательно время встречи определяется только собственными скоростями лодок, а скорость течения не влияет на конечный результат.

1428. 13000000 = 13 млн; 3700000 = 3,7 млн; 24250000 = 24,25 млн; 243760000 = 243,76 млн; 320000 = 320 тыс.; 75000 = 75 тыс.; 700 = 15,7 тыс.; 365240 = 365,24 тыс.; 1875900 = 1875,9 тыс.; 17 млн = 17000 тыс.; 6 млрд 524 млн = 6524000 тыс.

1429. 1) (37,8 • 4 - 111,96) : 12 = (151,2 - 111,96) : 12 = 39,24 : 12 = 3,27;
2) (87,38 : 17 + 7,36) • 21 = (5,14 + 7,36) • 21 = 12,5 • 21 = 262,5.

1430.1 1) Составим и решим уравнение: х + (х + 3,7) = 15,9 ⇒ х = (15,9 - 3,7) : 2 = 6,1 - одно число, а другое 6,1 + 3,7 = 9,8.
2) Составим и решим уравнение: у + (у + 5,4) = 19,8 ⇒ у = (19,8 - 5,4) : 2 = 7,2 — одно число, а другое 7,2 + 5,4 = 12,6.

1431. а) 48,5 • 0,1 = 4,85; 83,75 • 0,1 = 8,375; 5,76 • 0,1 = 0,576; 27 • 0,1 = 2,7; б) 435,7 • 0,01 = 4,357; 4,2 • 0,01 = 0,042; 82,1 • 0,01 = 0,821; 82 • 0,01 = 0,82; 0,010,01 = 0,0001. в) 56,2 • 0,001 = 0,0562; 0,3 • 0,001 = 0,0003; 427,5 • 0,0001 = 0,04275; 365 • 0,0001 = 0,0365.

1432. а) 0,2 • 0,3 = 0,06; б) 0,25 • 0,4 = 0,1; в) 2,87 • 5,6 = 16,072; г) 1,4 • 4,76 = 6,664; д) 0,85 • 4,07 = 3,4595; е) 5,497 • 0,42 = 2,30874; ж) 8,5 • 1,04 = 8,84; з) 0,25 • 0,0008 = 0,0002; и) 125 • 1,6 = 200; к) 3,14 • 500 = 1570; л) 630 • 0,544 = 342,72; м) 3,12 • 0,012 = 0,03744.

1433. Площадь школьного коридора равна 30,24 • 5,12 = 154,8288 м2 ≈ 154,83 м2.

1434. Скорость движения Венеры вокруг Солнца равна 47,8 - 12,8 = 35 км/с. За 5 с при движении вокруг Солнца Меркурий пройдет путь 47,8 • 5 = 239 км, а Венера — 35 • 5 = 175 км; за 12,5 с Меркурий — 47,8 • 12,5 = 597,5 км, а Венера — 35 • 12,5 = 437,5 км; за 20,9 с Меркурий — 47,8 • 20,9 = 999,02 км, а Венера — 35 • 20,9 = 731,5 км.

1435. Мухино находится на (12,5 • 1,4) - (5,50,8) = 17,5 - 4,4 = 13,1 км дальше от Каменки, чем от Заречной.

1436. Расстояние между поездами (1,5 - 1,2) • 21 = 21 = 0,3 = 6,3 км..

1437. V = abc; S = 2 • (ab + ас + bc); l = 4 • (а + b + с):
а) при а = 5,9, b = 4, с = 12; V = 5,9 • 4 • 12 = 5,9 • 48 = 283,2 см3; S = 2 • (5,9 • 4 + 5,9 • 12 + 4 • 12) = 2 • (23,6 + 70,8 + 48) = 2 • 142,4 = 284,8 см2; L = 4 • (5,9 + 4 + 12) = 4 • 21,9 = 87,6 см;
б) при а = 14,1, b = 8, с = 2,5; V = 14,1 • 8 • 2,5 = = 14,1 • 20 = 282 см3; S = 2 • (14,1 • 8 + 14,1 • 2,5 + 8 • 2,5) = 2 • (112,8 + 35,25 + 20) = 2 • 168,05 = 336,1 см2; L = 4 • (14,1 + 8 + 2,5) = 4 • 24,6 = 98,4 см;
в) при а = 0,67, b = 0,85, с = 2,52; V = 0,67 • 0,85 • 2,52 = 0,67 • 2,142 = 1,43514 см3; S = 2 • (0,67-0,85 + 0,67 • 2,52 + 0,85 • 2,52) = 2 • 4,3999 = 8,7998 см2; L = 4 • (0,67 + 0,85 + 2,52) = 4 • 4,04 = 16,16 см;
г) при а = 2,07, b = 0,95, с = 4,24 V = 2,07 • 0,95 • 4,24 = 2,07 • 4,028 = 8,33796 см3; S = 2 • (2,07 • 0,95 + 2,07 • 4,24 + 0,95 • 4,24) = 29,5426 см2; L = 4 • (2,07 + 0,95 + 4,24) = 4 • 7,26 = 29,04 см.

1438. Через 2,5 ч между ними будет (40 • 1,5 - 40) • 2,5 = (60 - 40) • 2,5 = 20 • 2,5 = 50 км.

1439. а) 8,3а + 1,7а = 10а; б) 71,4b - 70,2b = 1,2b; в) 2,5с +1,2 + 3,6с+5 = (2,5 + 3,6)с + (1,2 + 5) = 6,1с + 6,2; г) 8,8 - 9,7d - 2,5d - 3,7 = 8,8 - 3,7 - (9,7 + 2,5 )d = 5,1 - 12,2d.

1440. a) 0,7542x + 0,2458x - 20,9 = x - 20,9; при x = 220, x - 20,9 = 220 - 20,9 = 199,1; 6) 66,6у - 44,4у + 8,11 = 22,2у + 8,11; при у = 10,22, 2у + 8,11 = 22,2 • 10 + 8,11 = 222 + 8,11 = 230,11.

1441. а) 45,7x + 0,3x - 2,4 = 89,6 ⇒ 46x = 89,6 + 2,4 ⇒ х = 92 : 46 = 2; б) 80,1y - 10,1 у + 4,7 = 81,7 ⇒ 70у = 81,7 - 4,7 = 77 ⇒ у = 77 : 70 = 1,1.

1442. а) 0,32 • 10 = 0,3 • 0,3 • 10 = 0,09 • 10 = 0,9;
б) 0,23 • 100 = 0,2 • 0,2 • 0,2 • 100 = 0,008 • 100 = 0,8;
в) 0,12 + 0,13 = 0,1 • 0,1 + 0,1 • 0,1 • 0,1 = 0,01 + 0,001 =
0,011; г) 42 • 0,13 = 4 • 4 0,1 • 0,1 • 0,1 = 16-0,001 = 0,016;
д) 2,52 • 1000 = 2,5 • 2,5 • 1000 = 6,25 • 1000 = 6250;
е) 0,62 + 0,82 - 0,23 = 0,6 • 0,6 + 0,8 • 0,8 - 0,2 • 0,2 • 0,2 = 0,36 + 0,64 - 0,008 = 1 - 0,008 = 0,992.

<<< К началу

 

 

???????@Mail.ru