Главная >> Домашние работы к учебнику Виленкина. Математика 5 класс

§ 8. Инструменты для вычислений и измерений

Микрокалькулятор. Домашние работы

1536. Две тысячи пятьсот четыре целых одна тысяча семьсот тридцать четыре десятитысячных.

1537. Выполните задание самостоятельно.

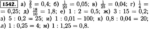
1538. а) 39,614 + 89,213 = 128,827; 560,98 + 1039,71 = 1600,69; 0,0876 + 0,0876 = 0,1752; 0,0876 + 0,91469 = 1,00229; 24174 395 + 39623008 = 63 797403;
б) 98,542 - 67,413 = 31,129; 714,932 - 521,081 = 193,851; 0,09854 - 0,05421 = 0,04433; 76 539086-22612007 = 53927079;
в) 24,15 • 39,52 = 954,408; 1,987 • 2,608 = 5,182096; 0,5637 • 0,451 = 0,2542287; 0,0567 • 2,371 = 0,1333257;
г) 18,324169 : 3,427 = 5,347; 621,83538 : 24,501 = 25,38; 673074,72 : 941,1 = 715,2.

1540. а) 412,89 + 306,24 - 678,59 = 719,13 - 678,59 = 40,54;
б) 8,508 + 9,439 - 2,524 = 17,947 - 2,524 = 15,423;
в) 0,769 • 5,142 • 3,71 = 3,954198 • 3,71 = 14,67007458;
г) 9,725 • 1,06 : 3,89 = 10,3085 : 3,89 = 2,65;
д) 24,78 • 51,8 + 248,713 = 1283,604 + 248,713 = 1532,317;
е) 871,017 : 5,05 - 11,376 = 161,786 - 11,376 = 150,410;
ж) (280,65+317,25) • 4,24 = 597,9 • 4,24 = 2535,096;
з) (953,54 - 396,41) : 75,8 • 4,12 = 557,13 : 75,8 • 4,12 = 7,35 • 4,12 = 30,282.

1541. а) 7,9, 0,8, 2,4, 3; б) 9,9, 3,3, 6, 1,5; в) 3,6, 0,6, 1, 0,5; г) 16, 1,6, 2,1, 0,3.

1543. а) 50 • 0,01 = 0,5; б) 300 • 0,07 = 21; в) 40 • 0,6 = 24; г) 36 • 0,25 = 9.

1544. а) при делении на 10, 100; б) при умножении на 100, 1000.

1545. Средняя скорость движения автомобиля равна (40 • 3 + 60 • 1) : (3 + 1) = (120 + 60) : 4 = 180 : 4 = 45 км/ч.

1546. Выполните задание самостоятельно.

1547. а) каждое следующее число равно квадрату предыдущего: 2; 4; 16; 256; б) каждое следующее число равно квадрату предыдущего: 3; 9; 81; 6561; в) каждое следующее число равно половине предыдущего: 6; 3; 1,5; 0,75; г) каждое следующее число в 5 раз больше предыдущего: 0,1; 0,5; 2,5; 12,5.

1548. а) (81,242 + 65,312 + 412,54 + 94,376) : 4 = 653,47 : 4 = 163,3675;
б) (71,3 + 25,7 + 39,8 + 12,9 + 56,4) : 5 = 206,1 : 5 = 41,22.

<<< К началу   Решенния (окончание) >>>

 

 

???????@Mail.ru