Главная >> Математика 5 класс. Виленкин

§ 5. Обыкновенные дроби

26. Сложение и вычитание дробей с одинаковыми знаменателями (продолжение)

1013. Из 11 теплиц овощеводческого хозяйства 4 засажены помидорами, а 2 — огурцами. Какая часть теплиц занята огурцами и помидорами? Решите задачу двумя способами.

1014. Для посадки леса выделили участок площадью 300 га. Ель высадили на участка, а сосну на участка. Сколько гектаров занято елью и сосной вместе?

1015. Бригада решила изготовить 175 изделий сверх плана. В первый день она изготовила этого количества, во второй день — этого количества. Сколько изделий изготовила бригада за эти два дня? Сколько изделий ей осталось изготовить?

1016. Картофелем засажено поля овощеводческого хозяйства. Огурцами засеяно на поля больше, чем морковью, и на поля меньше, чем картофелем. Какая часть поля засеяна огурцами и какая морковью? Какая часть поля занята картофелем, огурцами и морковью вместе?

1017. Выполните действия:

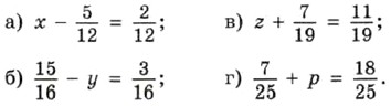
1018. Решите уравнение:

1019. В палатке было 2 ц 70 кг фруктов. Яблоки составляли всех фруктов, а груши всех фруктов. На сколько масса яблок больше массы груш? Решите задачу двумя способами.

1020. В первый день турист прошёл всего пути, а во второй день — всего пути. Известно, что за эти два дня турист прошёл 36 км. Сколько километров составляет весь путь туриста?

1021. Первый рассказ занимал книги, а второй рассказ — книги. Известно, что первый рассказ занимал на 12 страниц больше, чем второй. Сколько страниц во всей книге?

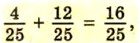
1022. Воспользовавшись равенством найдите значения выражении и решите уравнения:

1023. Вычислите устно:

1024. На экскурсию отправляются 260 человек. Сколько нужно заказать автобусов, если в каждом автобусе должно быть не более 30 пассажиров?

1025. Начертите отрезок. Затем начертите отрезок, длина которого равна:

1026. Найдите координаты точек A, B, С, D, Е, М, К (рис. 128) и сравните эти координаты с 1.

1027. Вычислите периметр и площадь треугольника АВС (рис. 129).

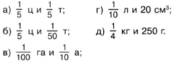
1028. Сравните:

1029. Верно ли, что:

1030. Найдите все значения х, при которых дробь будет правильной, а дробь — неправильной.

<<< К началу      Окончание >>>

 

 

???????@Mail.ru