Главная >> Математика 5 класс. Виленкин

§ 5. Обыкновенные дроби

27. Деление и дроби (продолжение)

1056. Из 4 м ткани сшили 7 юбок. Сколько ткани пошло на каждую юбку?

1057. Верёвку длиной в 7 м разрезали на 12 равных кусков. Найдите длину каждого куска.

1058. Решите уравнение:

1059. Найдите значение выражения, применяя свойство деления суммы на число:

а) (48 + 80) : 16;     в) 405 : 27 + 135 : 27;
б) (3393 + 999) : 3;    г) 2926 : 19 + 874 : 19.

1060. Расскажите, как на координатном луче отметить точки:

1061. Вычислите устно:

1062. Представьте числа 64, 144, 1000 в виде суммы их половин, четвертей и восьмых по образцу:

1063. Сколько получится, если:

а) удвоить половину числа а;    б) утроить треть числа х?

1064. Восстановите цепочку вычислений:

1065. Массы монет выпуска 1961 г. в 1 к., 2 к., 3 к. и 5 к. были равны соответственно 1 г, 2 г, 3 г и 5 г. Какую часть массы пятикопеечной монеты составляет масса каждой из остальных монет? Какую часть массы трёхкопеечной монеты составляет масса каждой из остальных монет?

1066. За одно сокращение сердце человека выталкивает 150 см3 крови. Сколько крови перекачивает сердце человека за 1 мин, за 1 ч при пульсе 60 (пульс — число сокращений сердца за 1 мин)?

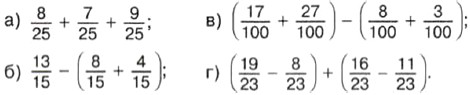
1067. Выполните действия:

1068. Сколько:

1069. В классе 40 человек. Из них 13 человек ещё не научились плавать. Какая часть учащихся класса умеет плавать?

<<< К началу      Окончание >>>

 

 

???????@Mail.ru